|
ABSTRACT
Prostate Cancer is one of the common cancers in the world. It could primarily disseminate to the bone and can lead to death. In order to address its life threatening distant metastasis it is important to diagnose it earlier for timely treatment. Bone metastasis is usually diagnosed deploying bone scan imaging. However interpretation of the bone scans is a tedious procedure for the physicians and often leads to misinterpretation either as overestimation or underestimation of the metastasis. To minimize the risk of misinterpretation, one of the accurate methods is quantitative analysis of the bone scans in order to ascertain, whether a metastatic lesion is present or not. There are several methods to-date which can be used to analyse the extent of such lesions. For example, quantitation of the bone scan using quantitation methods i-e % BSI (Bone scan index), % PAB (Positive area on bone scans), EOD (extent of disease) and BLS (Bone lesion scoring). These methods are used for prognostication of survival and response to treatment on serial scans. The extent of fidelity of these all available quantitatation methods is not clear when used altogether in a single baseline bone scan. Therefore, the aim of this study is to use all available bone scan quantitative parameters on a baseline bone scans and to compare them all. Moreover, an improved methodology is introduced by comparing the results with the individual methods reported in literature and with PSA levels.
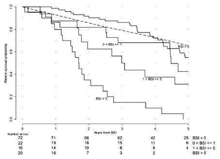
141 patients with histopathologically proved prostate cancer were chosen to implement all the four quantitative parameters on individual baseline bone scans. After which, for the calculation of risk of progression or regression of disease and survival rate, 40 patients were chosen from the same dataset. A serial follow up scan was performed to calculate 2-years survival rate. The dataset was again analysed using the same four bone scan quantitative parameters and the cut off were calculated as % BSI: 1, % PAB: 0.5, EOD: grade 0 & 1, grade2, 3 & 4 and BLS: 5.
It was found out that the %PAB and % BSI methods are good prognostic indicator in baseline scans. Moreover the prostate cancer patients with the cut off % BSI >1, %PAB > 0.5, BLS >5 and EOD with grade 2, 3 & 4 showed increase risk of disease progression and less survival.
ABBREVIATIONS
MDP- Methyl-Di-phosphonate
PET- Positron Emission Tomography
SPECT- Single Photon Emission Computed Tomography
BSI- Bone Scan Index
BLS-Bone Lesion Scoring
EOD-Extent of Disease
PAB- Positive area on Bone Scan
PSA-Prostate Specific Antigen
CT- Computed Tomography
MRI-Magnetic Resonance Imaging
USG-Ultra Sonography
EBRT-External Beam Radiation Therapy
1 INTRODUCTION
The adult human skeleton has a total of 213 bones, excluding the sesamoid bones. The appendicular skeleton has 126 bones, axial skeleton 74 bones, and auditory ossicles six bones. Each bone constantly undergoes modelling during life to help it adapt to changing biomechanical forces, as well as remodelling to remove old, microdamaged bone and replace it with new, mechanically stronger bone to help preserve bone strength [[1]].
The four general categories of bones are long bones, short bones, flat bones, and irregular bones. Long bones include the clavicles, humeri, radii, ulnae, metacarpals, femurs, tibiae, fibulae, metatarsals, and phalanges. Short bones include the carpal and tarsal bones, patellae, and sesamoid bones. Flat bones include the skull, mandible, scapulae, sternum, and ribs. Irregular bones include the vertebrae, sacrum, coccyx, and hyoid bone. Flat bones form by membranous bone formation, whereas long bones are formed by a combination of endochondral and membranous bone formation.
The skeleton serves a variety of functions. The bones of the skeleton provide structural support for the rest of the body, permit movement and locomotion by providing levers for the muscles, protect vital internal organs and structures, provide maintenance of mineral homeostasis and acid-base balance, serve as a reservoir of growth factors and cytokines, and provide the environment for haematopoiesis within the marrow spaces [[2]].
The long bones are composed of a hollow shaft, or diaphysis; flared, cone-shaped metaphyses below the growth plates; and rounded epiphyses above the growth plates. The diaphysis is composed primarily of dense cortical bone, whereas the metaphysis and epiphysis are composed of trabecular meshwork bone surrounded by a relatively thin shell of dense cortical bone.
The adult human skeleton is composed of 80% cortical bone and 20% trabecular bone overall. Different bones and skeletal sites within bones have different ratios of cortical to trabecular bone. The vertebra is composed of cortical to trabecular bone in a ratio of 25:75. This ratio is 50:50 in the femoral head and 95:5 in the radial diaphysis.
Cortical bone is dense and solid and surrounds the marrow space, whereas trabecular bone is composed of a honeycomb-like network of trabecular plates and rods interspersed in the bone marrow compartment. Both cortical and trabecular bone are composed of osteons [[3]].
Cortical osteons are called Haversian systems. Haversian systems are cylindrical in shape, are approximately 400 mm long and 200 mm wide at their base, and form a branching network within the cortical bone. The walls of Haversian systems are formed of concentric lamellae. Cortical bone is typically less metabolically active than trabecular bone, but this depends on the species. There are an estimated 21 × 106 cortical osteons in healthy human adults, with a total Haversian remodelling area of approximately 3.5 m2. Cortical bone porosity is usually <5%, but this depends on the proportion of actively remodelling Haversian systems to inactive cortical osteons. Increased cortical remodelling causes an increase in cortical porosity and decrease in cortical bone mass. Healthy aging adults normally experience thinning of the cortex and increased cortical porosity [[4]].
Cortical bone has an outer periosteal surface and inner endosteal surface. Periosteal surface activity is important for appositional growth and fracture repair. Bone formation typically exceeds bone resorption on the periosteal surface, so bones normally increase in diameter with aging. The endosteal surface has a total area of approximately 0.5 m2, with higher remodelling activity than the periosteal surface, likely as a result of greater biomechanical strain or greater cytokine exposure from the adjacent bone marrow compartment. Bone resorption typically exceeds bone formation on the endosteal surface, so the marrow space normally expands with aging [[5]].
Trabecular osteons are called packets. Trabecular bone is composed of plates and rods averaging 50 to 400 mm in thickness. Trabecular osteons are semilunar in shape, normally approximately 35 mm thick, and composed of concentric lamellae. It is estimated that there are 14 × 106 trabecular osteons in healthy human adults, with a total trabecular area of approximately 7 m2.
Cortical bone and trabecular bone are normally formed in a lamellar pattern, in which collagen fibrils are laid down in alternating orientations. Lamellar bone is best seen during microscopic examination with polarized light, during which the lamellar pattern is evident as a result of birefringence. The mechanism by which osteoblasts lay down collagen fibrils in a lamellar pattern is not known, but lamellar bone has significant strength as a result of the alternating orientations of collagen fibrils, similar to plywood. The normal lamellar pattern is absent in woven bone, in which the collagen fibrils are laid down in a disorganized manner. Woven bone is weaker than lamellar bone. Woven bone is normally produced during formation of primary bone and may also be seen in high bone turnover states such as osteitis fibrosa cystica, as a result of hyperparathyroidism, and Paget's disease or during high bone formation during early treatment with fluoride [[6]].
The periosteum is a fibrous connective tissue sheath that surrounds the outer cortical surface of bone, except at joints where bone is lined by articular cartilage, which contains blood vessels, nerve fibers, and osteoblasts and osteoclasts. The periosteum is tightly attached to the outer cortical surface of bone by thick collagenous fibers, called Sharpeys’ fibers, which extend into underlying bone tissue. The endosteum is a membranous structure covering the inner surface of cortical bone, trabecular bone, and the blood vessel canals (Volkmann’s canals) present in bone. The endosteum is in contact with the bone marrow space, trabecular bone, and blood vessel canals and contains blood vessels, osteoblasts, and osteoclasts [[7]].
1.2 Bone Growth Modeling and Remodeling
Bone undergoes longitudinal and radial growth, modelling, and remodelling during life. Longitudinal and radial growth during growth and development occurs during childhood and adolescence. Longitudinal growth occurs at the growth plates, where cartilage proliferates in the epiphyseal and metaphyseal areas of long bones, before subsequently undergoing mineralization to form primary new bone [[8]].
Modelling is the process by which bones change their overall shape in response to physiologic influences or mechanical forces, leading to gradual adjustment of the skeleton to the forces that it encounters. Bones may widen or change axis by removal or addition of bone to the appropriate surfaces by independent action of osteoblasts and osteoclasts in response to biomechanical forces. Bones normally widen with aging in response to periosteal apposition of new bone and endosteal resorption of old bone. Wolff's law describes the observation that long bones change shape to accommodate stresses placed on them. During bone modelling, bone formation and resorption are not tightly coupled. Bone modelling is less frequent than remodelling in adults. Modelling may be increased in hyporparathyroidism, renal osteodystrophy or treatment with anabolic agents [[9]].
Bone remodelling is the process by which bone is renewed to maintain bone strength and mineral homeostasis. Remodelling involves continuous removal of discrete packets of old bone, replacement of these packets with newly synthesized proteinaceous matrix, and subsequent mineralization of the matrix to form new bone. The remodelling process resorbs old bone and forms new bone to prevent accumulation of bone microdamage. Remodelling begins before birth and continues until death. The bone remodelling unit is composed of a tightly coupled group of osteoclasts and osteoblasts that sequentially carry out resorption of old bone and formation of new bone. Bone remodelling increases in perimenopausal and early postmenopausal women and then slows with further aging, but continues at a faster rate than in premenopausal women. Bone remodelling is thought to increase mildly in aging men.
The remodelling cycle is composed of four sequential phases. Activation precedes resorption, which precedes reversal, which precedes formation. Remodelling sites may develop randomly but also are targeted to areas that require repair [8, 9]. Remodelling sites are thought to develop mostly in a random manner.
Activation involves recruitment and activation of mononuclear monocyte-macrophage osteoclast precursors from the circulation , lifting of the endosteum that contains the lining cells off the bone surface, and fusion of multiple mononuclear cells to form multinucleated preosteoclasts. Preosteoclasts bind to bone matrix via interactions between integrin receptors in their cell membranes and RGD (arginine, glycine, and asparagine)-containing peptides in matrix proteins, to form annular sealing zones around bone-resorbing compartments beneath multinucleated osteoclasts [[10]].
Osteoclast-mediated bone resorption takes only approximately 2 to 4 wk during each remodelling cycle [[11]]. Osteoclast formation, activation, and resorption are regulated by the ratio of receptor activator of NF-κB ligand (RANKL) to osteoprotegerin (OPG), IL-1 and IL-6, colony-stimulating factor (CSF), parathyroid hormone, 1,25-dihydroxyvitamin D, and calcitonin [[12]]. Resorbing osteoclasts secrete hydrogen ions via H+-ATPase proton pumps and chloride channels in their cell membranes into the resorbing compartment to lower the pH within the bone-resorbing compartment to as low as 4.5, which helps mobilize bone mineral [[13]]. Resorbing osteoclasts secrete tartrate-resistant acid phosphatase, cathepsin K, matrix metalloproteinase 9, and gelatinase from cytoplasmic lysosomes to digest the organic matrix, resulting in formation of saucer-shaped Howship's lacunae on the surface of trabecular bone and Haversian canals in cortical bone. The resorption phase is completed by mononuclear cells after the multinucleated osteoclasts undergo apoptosis [[14]].
Regulation of osteoclastogenesis by receptor activator of NF-κB ligand (RANKL) and osteoprotegerin (OPG): Colony-stimulating factor 1 (CSF-1) normally stimulates osteoclast recruitment. Two forms of RANKL are produced by osteoblasts and osteoblast [[15]].
Multinucleated osteoclasts resorb bone to form resorption pits known as Howship's lacunae [[16]].During the reversal phase, bone resorption transitions to bone formation. At the completion of bone resorption, resorption cavities contain a variety of mononuclear cells, including monocytes, osteocytes released from bone matrix, and preosteoblasts recruited to begin new bone formation. The coupling signals linking the end of bone resorption to the beginning of bone formation are as yet unknown. Proposed coupling signal candidates include bone matrix—derived factors such as TGF-β, IGF-1, IGF-2, bone morphogenetic proteins, PDGF, or fibroblast growth factor [[17]]. TGF-β concentration in bone matrix correlates with histomorphometric indices of bone turnover and with serum osteocalcin and bone-specific alkaline phosphatase [[18]]. TGF-β released from bone matrix decreases osteoclast resorption by inhibiting RANKL production by osteoblasts. The reversal phase has also been proposed to be mediated by the strain gradient in the lacunae. As osteoclasts resorb cortical bone in a cutting cone, strain is reduced in front and increased behind, and in Howship's lacunae, strain is highest at the base and less in surrounding bone at the edges of the lacunae. The strain gradient may lead to sequential activation of osteoclasts and osteoblasts, with osteoclasts activated by reduced strain and osteoblasts by increased strain. The osteoclast itself has also been proposed to play a role during reversal [[19]].
Bone formation takes approximately 4 to 6 mo to complete. Osteoblasts synthesize new collagenous organic matrix and regulate mineralization of matrix by releasing small, membrane-bound matrix vesicles that concentrate calcium and phosphate and enzymatically destroy mineralization inhibitors such as pyrophosphate or proteoglycans. Osteoblasts surrounded by and buried within matrix become osteocytes with an extensive canalicular network connecting them to bone surface lining cells, osteoblasts, and other osteocytes, maintained by gap junctions between the cytoplasmic processes extending from the osteocytes. The osteocyte network within bone serves as a functional syncytium. At the completion of bone formation, approximately 50 to 70% of osteoblasts undergo apoptosis, with the balance becoming osteocytes or bone-lining cells. Bone-lining cells may regulate influx and efflux of mineral ions into and out of bone extracellular fluid, thereby serving as a blood-bone barrier, but retain the ability to redifferentiate into osteoblasts upon exposure to parathyroid hormone or mechanical forces [[20]]. Bone-lining cells within the endosteum lift off the surface of bone before bone resorption to form discrete bone remodeling compartments with a specialized microenvironment. In patients with multiple myeloma, lining cells may be induced to express tartrate-resistant acid phosphatase and other classical osteoclast markers [[21]].
The end result of each bone remodeling cycle is production of a new osteon. The remodeling process is essentially the same in cortical and trabecular bone, with bone remodeling units in trabecular bone equivalent to cortical bone remodeling units divided in half longitudinally. Bone balance is the difference between the old bone resorbed and new bone formed. Periosteal bone balance is mildly positive, whereas endosteal and trabecular bone balances are mildly negative, leading to cortical and trabecular thinning with aging. These relative changes occur with endosteal resorption outstripping periosteal formation [[22]].
The main recognized functions of bone remodeling include preservation of bone mechanical strength by replacing older, microdamaged bone with newer, healthier bone and calcium and phosphate homeostasis. The relatively low adult cortical bone turnover rate of 2 to 3%/yr is adequate to maintain biomechanical strength of bone. The rate of trabecular bone turnover is higher, more than required for maintenance of mechanical strength, indicating that trabecular bone turnover is more important for mineral metabolism. Increased demand for calcium or phosphorus may require increased bone remodeling units, but, in many cases, this demand may be met by increased activity of existing osteoclasts. Increased demand for skeletal calcium and phosphorus is met partially by osteoclastic resorption and partly by nonosteoclastic calcium influx and efflux. Ongoing bone remodelling activity ensures a continuous supply of newly formed bone that has relatively low mineral content and is able to exchange ions more easily with the extracellular fluid. Bone remodeling units seem to be mostly randomly distributed throughout the skeleton but may be triggered by microcrack formation or osteocyte apoptosis. The bone remodeling space represents the sum of all of the active bone remodeling units in the skeleton at a given time [[23]].
Osteoclasts are the only cells that are known to be capable of resorbing bone. Activated multinucleated osteoclasts are derived from mononuclear precursor cells of the monocyte-macrophage lineage. Mononuclear monocyte-macrophage precursor cells have been identified in various tissues, but bone marrow monocyte-macrophage precursor cells are thought to give rise to most osteoclasts.
RANKL and macrophage CSF (M-CSF) are two cytokines that are critical for osteoclast formation. Both RANKL and M-CSF are produced mainly by marrow stromal cells and osteoblasts in membrane-bound and soluble forms, and osteoclastogenesis requires the presence of stromal cells and osteoblasts in bone marrow [[24]]. RANKL belongs to the TNF superfamily and is critical for osteoclast formation. M-CSF is required for the proliferation, survival, and differentiation of osteoclast precursors, as well as osteoclast survival and cytoskeletal rearrangement required for bone resorption. OPG is a membrane-bound and secreted protein that binds RANKL with high affinity to inhibit its action at the RANK receptor.
Bone resorption depends on osteoclast secretion of hydrogen ions and cathepsin K enzyme. H+ ions acidify the resorption compartment beneath osteoclasts to dissolve the mineral component of bone matrix, whereas cathepsin K digests the proteinaceous matrix, which is mostly composed of type I collagen [[25]].
Osteoclasts bind to bone matrix via integrin receptors in the osteoclast membrane linking to bone matrix peptides. The β1 family of integrin receptors in osteoclasts binds to collagen, fibronectin, and laminin, but the main integrin receptor facilitating bone resorption is the αvβ3 integrin, which binds to osteopontin and bone sialoprotein.
Binding of osteoclasts to bone matrix causes them to become polarized, with the bone resorbing surface developing a ruffled border that forms when acidified vesicles that contain matrix metalloproteinases and cathepsin K are transported via microtubules to fuse with the membrane. The ruffled border secretes H+ ions via H+-ATPase and chloride channels and causes exocytosis of cathepsin K and other enzymes in the acidified vesicles [[26]].
Upon contact with bone matrix, the fibrillar actin cytoskeleton of the osteoclast organizes into an actin ring, which promotes formation of the sealing zone around the periphery of osteoclast attachment to the matrix. The sealing zone surrounds and isolates the acidified resorption compartment from the surrounding bone surface . Disruption of either the ruffled border or actin ring blocks bone resorption. Actively resorbing osteoclasts form podosomes, which attach to bone matrix, rather than focal adhesions as formed by most cells. Podosomes are composed of an actin core surrounded by αvβ3 integrins and associated cytoskeletal proteins [[27]].
Osteoprogenitor cells give rise to and maintain the osteoblasts that synthesize new bone matrix on bone-forming surfaces, the osteocytes within bone matrix that support bone structure, and the protective lining cells that cover the surface of quiescent bone. Within the osteoblast lineage, subpopulations of cells respond differently to various hormonal, mechanical, or cytokine signals. Osteoblasts from axial and appendicular bone have been shown to respond differently to these signals.
Self-renewing, pluripotent stem cells give rise to osteoprogenitor cells in various tissues under the right environmental conditions. Bone marrow contains a small population of mesenchymal stem cells that are capable of giving rise to bone, cartilage, fat, or fibrous connective tissue, distinct from the hematopoietic stem cell population that gives rise to blood cell lineages [[28]]. Cells with properties that are characteristic of adult bone marrow mesenchymal stem cells have been isolated from adult peripheral blood and tooth pulp and fetal cord blood, liver, blood, and bone marrow. Multipotential myogenic cells that are capable of differentiating into bone, muscle, or adipocytes have also been identified. Mesenchymal cells that are committed to one phenotype may dedifferentiate during proliferation and develop another phenotype, depending on the local tissue environment. Blood vessel pericytes may develop an osteoblastic phenotype during dedifferentiation under the right circumstances [[29]].
Commitment of mesenchymal stem cells to the osteoblast lineage requires the canonical Wnt/β-catenin pathway and associated proteins. Identification of a high bone mass phenotype associated with activating mutations of LDL receptor–related protein 5 highlighted the importance of the canonical Wnt/β-catenin pathway in embryonic skeletal patterning, fetal skeletal development, and adult skeletal remodeling . The Wnt system is also important in chondrogenesis and hematopoiesis and may be stimulatory or inhibitory at different stages of osteoblast differentiation [[30]].
Flattened bone-lining cells are thought to be quiescent osteoblasts that form the endosteum on trabecular and endosteal surfaces and underlie the periosteum on the mineralized surface. Osteoblasts and lining cells are found in close proximity and joined by adherens junctions. Cadherins are calcium-dependent transmembrane proteins that are integral parts of adherens junctions and together with tight junctions and desmosomes join cells together by linking their cytoskeletons [[31]].
Osteoblast precursors change shape from spindle-shaped osteoprogenitors to large cuboidal differentiated osteoblasts on bone matrix surfaces after preosteoblasts stop proliferating. Preosteoblasts that are found near functioning osteoblasts in the bone remodeling unit are usually recognizable because of their expression of alkaline phosphatase. Active mature osteoblasts that synthesize bone matrix have large nuclei, enlarged Golgi structures, and extensive endoplasmic reticulum. These osteoblasts secrete type I collagen and other matrix proteins vectorially toward the bone formation surface.
Populations of osteoblasts are heterogeneous, with different osteoblasts expressing different gene repertoires that may explain the heterogeneity of trabecular microarchitecture at different skeletal sites, anatomic site-specific differences in disease states, and regional variation in the ability of osteoblasts to respond to agents used to treat bone disease [[32]].
Osteocytes represent terminally differentiated osteoblasts and function within syncytial networks to support bone structure and metabolism. Osteocytes lie within lacunae within mineralized bone and have extensive filipodial processes that lie within the canaliculi in mineralized bone . Osteocytes do not normally express alkaline phosphatase but do express osteocalcin, galectin 3, and CD44, a cell adhesion receptor for hyaluronate, as well as several other bone matrix proteins. Osteocytes express several matrix proteins that support intercellular adhesion and regulate exchange of mineral in the bone fluid within lacunae and the canalicular network. Osteocytes are active during osteolysis and may function as phagocytic cells because they contain lysosomes [[33]].
Osteocytes maintain connection with each other and the bone surface via their multiple filipodial cellular processes. Connexins are integral cellular proteins that maintain gap junctions between cells to allow direct communication through intercellular channels. Osteocytes are linked metabolically and electrically through gap junctions composed primarily of connexin 43. Gap junctions are required for osteocyte maturation, activity, and survival.
The primary function of the osteocyte-osteoblast/lining cell syncytium is mechanosensation. Osteocytes transduce stress signals from bending or stretching of bone into biologic activity. Flow of canalicular fluid in response to external forces induces a variety of responses within osteocytes. Rapid fluxes of bone calcium across filipodial gap junctions are believed to stimulate transmission of information between osteoblasts on the bone surface and osteocytes within the bone [[34]]. Signaling mechanisms involved in mechanotransduction include prostaglandin E2, cyclo-oxygenase 2, various kinases, Runx2, and nitrous oxide.
Osteocytes may live for decades in human bone that is not turned over. The presence of empty lacunae in aging bone suggests that osteocytes may undergo apoptosis, probably caused by disruption of their intercellular gap junctions or cell–matrix interactions. Osteocyte apoptosis in response to estrogen deficiency or glucocorticoid treatment is harmful to bone structure. Estrogen and bisphosphonate therapy and physiologic loading of bone may help prevent osteoblast and osteocyte apoptosis [[35]].
Bone protein is composed of 85 to 90% collagenous proteins. Bone matrix is mostly composed of type I collagen with trace amounts of types III and V and FACIT collagens at certain stages of bone formation that may help determine collagen fibril diameter. FACIT collagens are members of the family of Fibril-Associated Collagens with Interrupted Triple Helices, a group of nonfibrillar collagens that serve as molecular bridges that are important for the organization and stability of extracellular matrices. Members of this family include collagens IX, XII, XIV, XIX, XX, and XXI. Noncollagenous proteins compose 10 to 15% of total bone protein. Approximately 25% of noncollagenous protein is exogenously derived, including serum albumin and α2-HS-glycoprotein, which bind to hydroxyapatite because of their acidic properties. Serum-derived noncollagenous proteins may help regulate matrix mineralization, and α2-HS-glycoprotein, which is the human analogue of fetuin, may regulate bone cell proliferation. The remaining exogenously derived noncollagenous proteins are composed of growth factors and a large variety of other molecules in trace amounts that may affect bone cell activity [[36]].
Osteoblasts synthesize and secrete as much noncollagenous protein as collagen on a molar basis. The noncollagenous proteins are divided broadly into several categories, including proteoglycans, glycosylated proteins, glycosylated proteins with potential cell-attachment activities, and γ-carboxylated (gla) proteins. The roles of each of the bone proteins are not well defined at present, and many seem to serve multiple functions, including regulation of bone mineral deposition and turnover and regulation of bone cell activity. Serum osteocalcin synthesized by osteoblasts was previously thought to function as a promoter or initiator of calcium deposition at the nidus between the ends of collagen fibrils and therefore regarded as a marker of bone formation. The observation that the osteocalcin knockout mouse has a high bone mass phenotype suggests that osteocalcin normally inhibits bone formation. Because serum osteocalcin is derived from both matrix release by osteoclast activity and osteoblast synthesis, it is currently regarded as a marker of bone turnover rather than a specific marker of bone formation.
The main glycosylated protein present in bone is alkaline phosphatase. Alkaline phosphatase in bone is bound to osteoblast cell surfaces via a phosphoinositol linkage and also is found free within mineralized matrix. Alkaline phosphatase plays an as-yet-undefined role in mineralization of bone [[37]]. The most prevalent noncollagenous protein in bone is osteonectin, accounting for approximately 2% of total protein in developing bone. Osteonectin is thought to affect osteoblast growth and/or proliferation and matrix mineralization.
1.4 Bone Matrix Mineralization
Bone is composed of 50 to 70% mineral, 20 to 40% organic matrix, 5 to 10% water, and <3% lipids. The mineral content of bone is mostly hydroxyapatite [Ca10(PO4)6(OH)2], with small amounts of carbonate, magnesium, and acid phosphate, with missing hydroxyl groups that are normally present. Compared with geologic hydroxyapatite crystals, bone hydroxyapatite crystals are very small, measuring only approximately 200 Å in their largest dimension. These small, poorly crystalline, carbonate-substituted crystals are more soluble than geologic hydroxyapatite crystals, thereby allowing them to support mineral metabolism [[38]].
Matrix maturation is associated with expression of alkaline phosphatase and several noncollagenous proteins, including osteocalcin, osteopontin, and bone sialoprotein. It is thought that these calcium- and phosphate-binding proteins help regulate ordered deposition of mineral by regulating the amount and size of hydroxyapatite crystals formed.
Bone mineral provides mechanical rigidity and load-bearing strength to bone, whereas the organic matrix provides elasticity and flexibility. Bone mineral is initially deposited in “hole” zones between the ends of collagen fibrils. This process may be facilitated by extracellular matrix vesicles in bone, as it is in calcifying cartilage and mineralizing turkey tendon. Matrix extracellular vesicles are synthesized by chondrocytes and osteoblasts and serve as protected microenvironments in which calcium and phosphate concentrations can increase sufficiently to precipitate crystal formation. The extracellular fluid is not normally supersaturated with hydroxyapatite, so hydroxyapatite does not spontaneously precipitate. Matrix extracellular vesicles contain a nucleational core that is composed of proteins and a complex of acidic phospholipids, calcium, and inorganic phosphate that is sufficient to precipitate hydroxyapatite crystals. It is not yet certain how matrix extracellular vesicles contribute to mineralization at specific sites at the ends of collagen fibrils, because the vesicles apparently are not directly targeted to the ends of fibrils [[39]].
There is no evidence that noncrystalline calcium phosphate clusters (amorphous calcium phosphate) forms in bone before it is converted to hydroxyapatite. As bone matures, hydroxyapatite crystals enlarge and reduce their level of impurities. Crystal enlargement occurs both by crystal growth and by aggregation. Bone matrix macromolecules may facilitate initial crystal nucleation, sequester mineral ions to increase local concentrations of calcium and/or phosphorus, or facilitate heterogeneous nucleation. Macromolecules also bind to growing crystal surfaces to determine the size, shape, and number of crystals formed.
Confirmed mineralization promoters (nucleators) include dentin matrix protein 1 and bone sialoprotein. Type I collagen is not a bone mineralization promoter. Phosphoprotein kinases and alkaline phosphatase regulate the mineralization process. Bone alkaline phosphatase may increase local phosphorus concentrations, remove phosphate-containing inhibitors of hydroxyapatite crystal growth, or modify phosphoproteins to control their ability to act as nucleators [[40]].
Vitamin D plays in an indirect role in stimulating mineralisation of unminearlised bone matrix. After absorption or skin production of Vitamin D, the liver synthesises 25-hydroxyvitmain D and kidney subsequently produces biologically active 1, 25 dihydroxyvitamin D. Which is responsible for maintaining serum calcium and phosphorous in adequate concentration to allow passive mineralization of the unmineralised matrix. Serum 1, 25-(OH)2D does this primarily by stimulating intestinal absorption of calcium and phosphorus. Serum 1,25-(OH)2D also promotes differentiation of osteoblasts and stimulates osteoblastic expression of bone-specific alkaline phosphatase, osteocalcin, osteonectin, OPG, and a variety of other cytokines. Serum 1,25-(OH)2D also influences proliferation and apoptosis of other skeletal cells, including hypertrophic chondrocytes
[[41]].
1.5 Determinants of Bone Strength
Bone mass accounts for 50 to 70% of bone strength. Bone geometry and composition are important, however, because larger bones are stronger than smaller bones, even with equivalent bone mineral density. As bone diameter expands radially, the strength of bone increases by the radius of the involved bone raised to the fourth power. The amount and proportion of trabecular and cortical bone at a given skeletal site affect bone strength independently. Bone material properties are important for bone strength. Some patients with osteoporosis have abnormal bone matrix. Mutations in certain proteins may cause bone weakness (e.g., collagen defects cause decreased bone strength in osteogenesis imperfecta, impaired γ-carboxylation of Gla proteins). Bone strength can be affected by osteomalacia, fluoride therapy, or hypermineralization states. Bone microstructure affects bone strength also. Low bone turnover leads to accumulation of microfractures. High bone turnover, with bone resorption greater than bone formation, is the main cause of microarchitectural deterioration [[42]].
Bone tumours develop when cell in the bone divide without control, forming a mass of tissue. Most bone tissues are benign and they don’t spread. However they may still weaken bone and can lead to fracture and cause other problems. Bone cancers may destroy normal bone tissues and can spread to other parts of the body called as metastasis.
They are more common than the malignant tumours. Following are the most common benign tumours.
Ø Osteochondroma
Ø Osteoid Osteoma
Ø Giant cell Tumour
Ø Osteoblastoma
Ø Enchondroma
The metastatic bone cancer is the one in which primary is present somewhere else in the body whereas it metastasize to bone. Even though it spreads to the bone it is not considered as the bone tumour because the primary is present elsewhere. Cancers that commonly spread to the bones are:
Ø Breast Cancer
Ø Prostate Cancer
Ø Lung Cancer
The axial skeleton, the primary site of active marrow, is the most common distribution of metastatic spread for patients with prostate cancer. At this time, there is no standard means by which osseous lesions can be directly visualized or quantified; thus, there is no qualified imaging biomarker for prostate cancer. Bone scintigraphy is commonly used to assess disease burden and treatment effects, but it is an imperfect modality for quantifying disease or for demonstrating treatment effects. Bone scans do not specifically identify cancer, can paradoxically worsen in the face of response (“flare”), and frequently improve only slowly if at all, despite patients ‘receiving active treatments [[43]].
The skeleton is the most common organ to be affected by metastatic cancer and the site of disease that produces the greatest morbidity. Skeletal morbidity includes pain that requires radiotherapy, hypercalcemia, pathological fracture, and spinal cord or even nerve root compression. From randomised trials in advanced cancer, it can be seen that one of these major skeletal events occur on an average every 3-6 months. Additionally, metastatic disease may remain confined to the skeleton with the decline in quality of life and eventual death almost entirely due to skeletal complication and their treatment. The prognosis of metastatic bone disease is dependent on the primary site with the breast and prostate cancer associated with a survival measured in years compared with lung cancer, where average survival is only a matter of months. Additionally, the presence of extraosseous disease and the extent and tempo of the bone disease are powerful predictors of outcome. The latter is best estimated by measurement of bone-specific-markers, and recent studies have shown a strong correlation between the rate of bone resorption and clinical outcome, both in terms of skeletal morbidity and progression of the underlying disease [[44]].
Bone is the third most common site for the metastatic cancer after lung and liver cancer .It is estimated that skeletal metastasis develops in 14-70% of all the tumour patients and autopsy based studies report the occurrence in 70% patients with carcinoma Breast and Prostate. In addition to ca prostate and ca prostate, many other tumours like lung, thyroid, kidney and melanoma have predilection for skeletal metastasis.From all the randomised trials in advanced cancer, it is estimated that one of these major skeletal events occurs on average every 3-6 months [[45]].
Table 1.1: Incidence of bone metastasis, Prevalence and Survival. [[46]]
|
Primary Tumour |
Incidence of Bone Metastasis |
Incidence of Bone Metastasis in Advanced Disease (At Autopsy) |
Median Time of Survival after Diagnosis of Bone metastasis |
Five Year World Prevalence |
|
Breast |
73 |
65-75% |
19-25 months |
3,860,000 |
|
Prostate |
68 |
65-75% |
12-53 months |
1,555,000 |
|
Thyroid |
42 |
60% |
48 months |
475,000 |
|
Kidney |
20-25 |
|
6 months |
480,000 |
|
Lung |
36 |
30-40% |
7 months |
1,394,000 |
|
GIT |
5 |
|
|
|
|
Myeloma |
|
70-95% |
6-54 months |
144,000 |
|
Melanoma |
|
14-45% |
6 months |
533,000 |
Vertebrae are most frequently involved (L>T>S>C). 38% of the metastatic disease involves the Thoraco-lumbar spine. Other bones involved in the order of the decreasing frequent are Pelvis, Ribs ,Sternum ,femur, humerus, Skull and hands. Ca Prostate specifically involves spine, femur, pelvis, skull, ribs and sternum while the one in breast carcinoma involves spine, pelvis, proximal femur, skull, ribs and mid-humerus. Each year thousands of cancer patients develop bone metastasis. In USA 7100,000 such new patients have been registered. This number is higher in the developing countries because most of the patients are diagnosed with locally advanced or metastatic stage of the disease that are already at increased risk of dissemination and bone metastasis.
Bone metastasis is clinically very important in prostate and breast cancer because of the prevalence of these diseases. By worldwide screening used worldwide e-g PSA levels for the prostate cancer and mammography for the breast cancer [[47]].
Benign and Malignant Bone Disease: [[48]]

Figure 1.1: Benign and Malignant Cancers Percentage [48]
1.7 Pathophysiology of Osseous Metastasis
Bone mainly consists of inorganic and organic part. 69% of the bone is composed of inorganic mineral part hydroxyapatite Ca10 (PO4)6(OH)2 and other mineral salts like amorphous Ca3(PO4)2 , 22% is organic matrix with 90% collagen and 10% non collagenous proteins and rest of 9% is water.
The Pathophysiology of bone metastasis and related complication is complex. Two facts likely increase the tumour seeding in bones. First is that the metastasis usually occurs in the axial skeleton due to sluggish blood flow in the red marrow which is abundant in the axial skeleton. Secondly, venous blood flows though the vertebral venous plexus of Batson [[49]].Skeletal metastasis is multifactorial process with complex interaction between host and tumour cells. Malignant cells lack contact inhibition owing to lack of cadherin expression (Which normally mediates Calcium mediated intracellular adhesion) therefore; cell matrix detachment takes place followed by invasion and migration. Other molecules involved are immunoglobulins, selectins, CD44.Migration takes place by pseudopodial extension and chemotaxis. Production of degradative enzymes ( Hydrolases and cathepsin D and proteases) assists in tumour cell escape. Egress of fluid from primary may also assist cells in gaining access to capillary or efferent lymphatic channel. It is estimated that < 0.1 % of tumour cells in vascular system survive and reach the new site. This is believed to be regulated by immune system i-e- host T lymphocytes and macrophage response. Fibrin clot surround these migrating cells thereby isolating them from host’s hostile environment and assists in adhesion to endothelium. Cells then adhere to vessel wall basement membrane via laminen (a glycoprotein) cell surface receptors and exit the basement membrane [[50]].

Figure 1.2: Pathophysiology of Osseous metastasis [[51]]
Platelet fibrin thrombi and clotting factors causes adhesion and arrest of tumour cells, whereas chemotactic factors lead to increased mobility of tumour cells. Serine proteases like matrix metalloproteass and urokinase plasmingen activation system mediates invasiveness. Cell matrix or cell to cell adhesion and stimulation of osteoclast and osteoblast activity causes bone lesions resulting in the invasion of bone matrix.>.5mm lesion requires new blood supply and tumour angiogenesis factor is secreted that attracts new blood vessels. A number of other factors are employed in angiogenesis like PGE2, purified epidermal growth (EGF) and fibroblast growth factor (FGF). In osteoblastic metastasis there is formation of new bone around the tumour cell deposit. TGF, fibroblast growth factor and endothelin-1 have been suggested as an activator of this osteoblastic response. In the patient with carcinoma prostate, endothelin-1 which is a powerful mitogenic factor is produced in large amounts by the prostatic epithelium . The initial steps in the development of bone metastases are similar to those of metastases to any other site. Primary tumour cells invade their surrounding normal tissue by producing proteolytic enzymes, which traverse the walls of small blood vessels in the normal tissue or those induced by the tumour and enter the circulation [[52]].

Figure 1.3: Spread of bone metastasis from Prostate [[53]]
They then travel to distant organ sites. These events have been described as inefficient, in that many cancer cells do not survive the normal protective host-surveillance mechanisms during this initial stages . The cancer cells that do survive can enter the wide channelled sinusoids of the bone-marrow cavity and are positioned to become bone metastases. Cancer cells must possess certain properties for this to occur. They must have the capacity to migrate across the sinusoidal wall, invade the marrow stroma, generate their own blood supply and travel to the endosteal bone surface. At this site, they stimulate the activity of osteoclasts or osteoblasts, thereby determining whether the subsequent bone metastasis is osteolytic or osteoblastic [[54]]. Each of these steps involves important molecular interactions between the general mechanism of tumour cell metastasis to bone is as follows:

Figure 1.4: Sequential Involvement of Bone [[55]]
In osteolytic bone disease, the metastatic tumour cells release humoral factors that stimulate osteoclastic recruitment and differentiation. Osteoclasts begin to break down bone. Bone resorption results in release of growth factors that stimulates tumour cell growth and as the tumour proliferates, it produces substances that increase osteoclast mediated bone resorption.
In osteoblastic bone disease, the metastatic tumour cell release growth factors that stimulate the activity of osteoclasts.Tumour cells also secrete growth factors that stimulate the activity of osteoblasts that lead to excessive new bone formation around the tumour-cell deposits. Osteoclast activity releases growth factors that stimulate tumour cell growth. Osteoblastic activation releases unidentified osteoblastic growth factors that also stimulate tumour cell growth [[56]].
Bone lesion may be lytic, Sclerotic or mixed according to the radiograph appearance of the lesion. Metastasis from the prostate cancer is typically sclerotic lesions. Metastasis from the breast carcinoma may be sclerotic or mixed. Sclerotic lesions have predominant osteoblastic activity while lytic lesions have predominate osteoclast mediated bone resorption. Mixed lesion show radiological or histopathological evidence of both osteolytic and osteoblastic processes.
1.7.1 Osteolytic and Osteoblastic Lesions
Breast and prostate cancer are the two cancers which usually metastasize to bone, the end result of metastasis is usually quite different in either cases. In case of breast carcinoma the metastasis is usually osteolytic. Osteolysis is caused by osteoclast stimulation not by the direct effect of cancer on bone. Although the dominant lesion is osteolytic but there is also an osteoblastic response which presumably is a bone repair process. The increase in bone formation in patients with osteolytic lesion is reflected by increase levels of serum Alkaline phosphatase a marker of osteoblast activity and increase uptake of the bone tracer at the site of bone lesion. However despite of this osteoblastic effect still the predominant effect is osteolysis.

Figure 1.5: Bone resorption and bone formation [[57]]
However in the case of prostate cancer the bone metastasis are usually osteoblastic ones. In case of prostate there is a profound local stimulation of osteoblasts adjacent to metastatic tumour cells and this is measured by alkaline phosphatase and Osteocalcin levels. So some patients of breast cancer also show osteoblastic lesions similarly some patients of prostate cancer show osteolytic lesions. So there are basically two type of lesions seen in bone metastasis; osteoblastic and osteolytic but in the carcinoma prostate the osteolytic lesions predominate.

Figure 1.6: Osteoblastic and Osteoblastic Effects in Prostate and breast Cancer Respectively [[58]]
1.8 Carcinoma Prostate and Osteoblastic Metastasis
There is accumulating data which shows that the prostate cancer causes osteoblastic lesions. Only 25% have an evidence of osteoclastic lesions. One of the most well studied mediator is the Ubiquitus growth factor called Endothelin-, which stimulates bone formation and osteoblast formation in bone organ cultures. Endothelin-1 is increased in the circulation with osteoblastic formation in prostate cancer.
1.8.1 The Transforming Growth Factor-β family
Several members of TGF-β family are powerful in vivo stimulators of new bone formation and are candidate mediator of bone metastasis. They are highly expressed by the prostate cells.
1.8.2 Proteases and their Activators
It has been proved in the literature that in prostate cancer a lot of proteases and activators are released which results in the osteoblastic bone metastasis [[59]].
Prostate cancer releases a large number of osteoblastic growth factors. Which are potential mediators of osteoblastic proliferation in patients with prostate cancer.

Figure 1.7: Carcinoma Prostate and Its Spread to Different Sites [[60]]
Some tumours have more avidity towards bone as most circulating tumour cells passes through the bone marrow as a consequence of its vascularity. There is a concept that there is a strong relationship between the tumour cells and the host cells which results in the spread of the tumour. And in case of prostate cancer there is more osteoblastic metastasis as compared to the osteolytic metastasis as the pre-dominantly osteoblastic activation system is activated in this case.
1.9 Clinical Presentation of Bone Metastasis
Patient can present with:
Ø pain,
Ø Pathological fractures,
Ø hypercalcemia or
Ø Spinal cord instability with cord compression.
Prostate cancer is a form of cancer that develops in the prostate, a gland in the male reproductive system. Most prostate cancers are slow growing however; there are cases of aggressive prostate cancers [[61]]. The cancer cells may metastasize (spread) from the prostate to other parts of the body, particularly the bones and lymph nodes. Prostate cancer may cause pain, difficulty in urinating, problems during sexual intercourse, erectile dysfunction, or death. Other symptoms can potentially develop during later stages of the disease.
Rates of detection of prostate cancers vary widely across the world, with South and East Asia detecting less frequently than in Europe, and especially the United States. Prostate cancer tends to develop in men over the age of fifty. Globally it is the sixth leading cause of cancer-related death in men (it is now the first in the UK and second in the United States). Prostate cancer is most common in the developed world with increasing rates in the developing world. However, many men with prostate cancer never have symptoms, undergo no therapy, and eventually die of other unrelated causes. Many factors, including genetics and diet, have been implicated in the development of prostate cancer. Recently the prevalence of light pollution has been implicated in the development of prostate cancer [[62]].
Figure 1.8: Histology of Normal and Abnormal Prostate [[63]]
Cancer of the prostate is the most prevalent neoplasm in adult men. A variety of treatment options for both early and advanced prostate cancer are being studied. Integral to the clinician’s role in advising the patient about these alternatives is his knowledge of prognostic
Factors. Pathologists were among the first to predict tumour behaviour based on the grade of differentiation. Staging of the disease was added as a prognostic factor, and the combination of the two is probably the most powerful prognostic tool for non metastatic disease. However, within each group of patients characterized by these two parameters, patients still may have different biologic (clinical and laboratory) parameters that allow them to be stratified further into subgroups with low and high probability of progression or death. Currently, despite efforts to increase awareness of early detection, the majority of men with prostate cancer do not present with organ-confined disease.’ The search for prognostic factors in advanced prostate cancer probably dates back to the first clinical trials that evaluated treatment options for this disease. There are a number of reasons for determining prognostic factors, including (1) to be able to identify those factors that influence outcome; to adjust the treatment intensity based on the prognosis of the individual patient; (3) to counsel the patient and his family properly; and 4) to maintain balance in treatment arms when comparing treatments. In an extensive analysis of prognostic factors based on a number of EORTC trials, De Voogt et al. found that age, acid phosphatase level, haemoglobin level, and performance status were important prognostic factors in advanced but non metastatic prostate cancer [[64]].

Figure 1.9: Pathological changes in Prostate cancer [[65]].
Early prostate cancer usually causes no symptoms. Sometimes, however, prostate cancer does cause symptoms, often similar to those of diseases such as benign prostatic hyperplasia. These include frequent urination, nocturia (increased urination at night), difficulty starting and maintaining a steady stream of urine, hematuria (blood in the urine), and dysuria (painful urination). About a third of patients diagnosed with prostate cancer have one or more such symptoms, while two thirds have no symptoms.
Prostate cancer is associated with urinary dysfunction as the prostate gland surrounds the prostatic urethra. Changes within the gland, therefore, directly affect urinary function. Because the vas deferens deposits seminal fluid into the prostatic urethra, and secretions from the prostate gland itself are included in semen content, prostate cancer may also cause problems with sexual function and performance, such as difficulty achieving erection or painful ejaculation.
Advanced prostate cancer can spread to other parts of the body, possibly causing additional symptoms. The most common symptom is bone pain, often in the vertebrae (bones of the spine), pelvis, or ribs. Spread of cancer into other bones such as the femur is usually to the proximal part of the bone. Prostate cancer in the spine can also compress the spinal cord, causing leg weakness and urinary and fecal incontinence [[66]].

Figure 1.10: Prostate Enlargement Affecting the Urethral [[67]]
Several risk factors correlate with the carcinoma prostate even if the underlying reason for the prostate remains obscure. The major risk factors include:
One of the major risk factor for Prostate Carcinoma is ageing. It is very unlikely in anyone under age of 50. The highest incidence rate is between 65- 80 years, though younger patient is more curable in younger patients than in older ones, according to Carter et al. If a curative treatment is to be started, certain duration of expected survival is usually required. Curative treatment is thus recommended as being preferable for younger patients. The exponential increase in the prevalence of prostate cancer by ageing remains unknown [[68]].
Commonly seen African and Americans, in whom the mortality rate is more than the Caucasians.
Among the risk factors of PCa has been mentioned. Men with high consumption of meat, cheese, egg and milk have relatively higher risk of fatal prostate cancer than others [[69]].
Patients with relatives with history of carcinoma prostate are at greater risk of developing carcinoma prostate. In a review, Brat et al pointed out strong relationship between the genetic factors and the prostate cancer.
Several studies have shown the direct correlation between obesity and the risk of dying from the aggressive type of carcinoma prostate. It was found that the patients with Body mass index > 25 were at 1.6 times greater risk of dying from the disease).
It has been suggested as a risk factor for carcinoma prostate. A large study in California including more than 43000 men showed an increase in at least 1.9 in the relative risk in men smoking one pack of cigarette per day) [[70]].
1.12Diagnosis of Prostate Cancer
Carcinoma prostate can be diagnosed as: Screening for PSA or Via Clinical symptoms followed by the Digital rectal examination in patients with symptoms or with high PSA levels from screening examination, latter tissue diagnosis via biopsy usually transrectal ultrasound guided repetitive biopsy recommended. After the diagnosis the carcinoma prostate staging is done via MRI to detect local staging, Gleason Score, T-Stage, PSA and Bone scans in high risk patients.

Figure 1.11: Diagnosis of Carcinoma Prostate [[71]]
Moreover the staging can be done best via TNM staging (American Joint Committee on Cancer .Clinical T-stage is used along with the Gleason score and the PSA values to stratify patients with localized Prostate cancer into low-risk, intermediate risk, or high risk categories.
Figure 1.12: Flow Chart showing Diagnosis of Carcinoma [[72]]
PSA has been shown to have clinical value in monitoring patients with prostate cancer who have undergone radical prostectomy, radiation therapy or hormonal treatment. Although PSA has been the current best one for monitoring tool for the prostate cancer up till now for monitoring tumour response or progression it has though limitation to test the tumour response in bone. The Prostate cancer can be staged accordingly as follows
Table 1.2: Tumour Staging [[73]]
|
Stage |
Features |
|
T1a |
Nonpalpable, with < or =5% of tissue with cancer, low grade (diagnosed by transurethral resection of the prostate) |
|
T1b |
Nonpalpable, with >5% of tissue with cancer, high grade (diagnosed by transurethral resection of the prostate), or both |
|
T1c |
Nonpalpable, but prostate-specific antigen level elevated |
|
T2a |
Palpable, < or = 50% of 1 lobe |
|
T2b |
Palpable, > or = 50% of 1 lobe, not both lobes |
|
T2c |
Palpable, involves both lobes |
|
T3a |
Palpable, unilateral capsular penetration |

Figure 1.13: Prostate Cancer Staging [[74]].
1.13Importance of PSA (Prostate Specific Antigen):
Prostate specific antigen is the only antigen yet reported which has relatively prostate specificity [[75]]. Monoclonal antibodies that recognise the extracellular domain of PMSA have recently been reported and are currently being evaluated for use in prostate cancer and treatment [[76]]. It is a specific tumour marker for the prostate cancer and is clinically valuable marker for prostatic adenocarcinoma in the initial evaluation of the patient. It is always correlated with the volume of cancer, pathological stage of primary tumour, and the presence or absence of metastasis along with the Pre-treatment and post-treatment status. Although the serum PSA levels appear to be an important and independent prognostic factor with its interaction with rest of the factors like clinical staging, Grading and nodal status. Pretreatment PSA levels is an important in the outcome of the localized prostate cancer treated with the external beam radiation therapy .Few studies signifies the prognostic significance of the PSA levels as follows 1: Patients with PSA less than or equal to 4 ng /ml had a favourable outcome with an actuarial disease free rate of 95% at 4 years (1 relapsed of 89 treated patients) 2 : Patients with PSA greater than 4 but less than or equal to 30ng/ml had an intermediate outcome with an actuarial disease-free rate of 80% at 4 years ( 12 relapsed of 185 treated) ; and (3) patients with PSA greater than 30 ng/hl who had a poor outcome with an actuarial disease-free rate of less than 40% at 3 years (12 relapsed of 40 treated) [[77]].
1.14Treatment of Prostate Cancer
Following are the options considered for the Prostate cancer treatment
1. Watchful waiting.
2. Surgery
3. External Beam Radiation Therapy
4. Brachytherapy.
5. Proton Therapy
6. Stereotactic Body radiation Therapy.

Figure 1.14: Treatment options for Prostate Cancer [[78]].
It is also named as active Surveillance, Prostate cancer is monitored closely. Prostate cancer may grow very slowly and may never need treatment depending on other health factors of the patient. This is the preferred treatment for those whose cancer is contained in the prostate and who are not experiencing any symptoms.
Most commonly radical retropubic prostectomy. The prostate gland is removed and may include biopsies of nearby lymph nodes. Procedure time is usually 3-4 hours usually requiring general anaesthesia and a three day hospital stay. Recovery at home usually lasts a few weeks.
1.14.3 External beam Radiation Therapy (EBRT)
Also know as intensity modulated radiation therapy or IMRT.Radiation beams are delivered from an external source. Lacks the ability to correct for movement of prostate during treatment. Resulting in possible damage to healthy surrounding tissue. Treatments are outpatient procedures that usually run five days a week for seven to eight weeks.
Small radioactive seeds are implanted within the prostate gland. Over the course of several months the seeds give off radiations to immediate surrounding area. Killing prostate cancer cells. Although patient remains in the hospital for several hours following the procedure and mostly go home at the same day.
Involved using a focus ray of proton particle to destroy prostate cancer cells. Beam of protons are delivered using particle accelerator. These charged particle damage the DNA of cells, ultimately causing their death or interfering with their ability to proliferate. Treatment is usually delivered five days a week for approximately eight weeks.
1.14.6 Stereotactic Body Radiation Therapy
Delivers targeted radiation beams to the prostate using without incision or sedation using Cyber knife technology. Compensates for normal patient movements minimising damage to healthy surrounding tissue. Patients are treated in five or fewer outpatient sessions over the course of one or two weeks [[79]].

Figure 1.15: Treatment Options for Different Stages of Prostate Cancer [[80]].
1.15Imaging Metastatic Bone Disease from Carcinoma of the Prostate
Imaging bone metastasis from prostate cancer presents several challenges. The lesions are usually sclerotic and appears late on the conventional X-ray. Imaging has played a critical role in prostate cancer staging since the development of radiography of the axial skeleton, but precise indications for and sensitivity and specificity of conventional imaging methods such as radionuclide bone scanning, computed tomography (CT), magnetic resonance (MR) imaging, ultrasonography (US), and combined positron emission tomography (PET)/CT remain under debate. The literature is replete with controversy about the value of imaging, ranging from enthusiastic endorsement to serious skepticism. Data from the Cancer of the Prostate Strategic Urologic Research Endeavours show that from 1995 to 2002, there was a national shift toward fewer imaging studies in all risk categories; the proportion of patients receiving any staging imaging test decreased by 63% in low-risk patients, by 25.9% in intermediate-risk patients, and by 11.4% in high-risk patients. The most precipitous decreases occurred in bone scan utilization rates, which decreased by 68.2%, 24.6%, and 11.1% in the low-, intermediate-, and high-risk groups, respectively. To some degree, these changes reflect the more appropriate use of imaging in response to the downward stage migration caused by PSA screening, but it is clear that some high-risk patients are proceeding to treatment without appropriate imaging evaluation (i.e., work-up for metastases) [[81]].Optimal use of imaging is not easy to define. However, this review will provide a multidisciplinary perspective on the optimal role of imaging in prostate cancer detection, staging, treatment planning, and follow-up by incorporating supporting evidence-based data when available.
Bone Scintigraphy is the mainstay of lesion detection, but not often is suitable for assessment of treatment response particularly after flare phenomenon after treatment. Prostate cancer is the second most common cancer in men, accounting for 1 in 9 of all new cancers, and with more than 670 000 new diagnoses annually worldwide. The metastatic spread is primarily in the skeleton (supporting the ‘seed-and-soil’ hypothesis described by Paget in 1889) in which lesions are often located in vertebra and ribs because of dissemination through Batson’s venous plexus. The spread in bone also follows the distribution of adult red bone marrow, that is, skull, thorax, pelvis, spine, proximal long bones [[82]] subsequently progressing to involve adjacent cortical bone. Preclinical models confirm that skeletal sites rich in cellular marrow with active turnover show increased cancer localisation [[83]]. Although predominantly osteoblastic, osteoclast activation also has an important role in the growth of sclerotic metastases in the bone. In a study of patients with prostatic bone metastases who underwent surgery for stabilisation of pathological fracture or impending fracture, most metastases were osteoblastic, but 29.1% had metastases that were osteolytic or mixed [[84]].
Skeletal metastases occur in approximately 90% of patients presenting with advanced prostate cancer, and the burden of bone disease directly correlates with survival [[85]]. After treatment of the primary site, bone is the first site of relapse in more than 80% of cases [[86]]. Plain film and bone scintigraphy studies form the mainstay of detection, but they underestimate true incidence. In one autopsy series of 1589 men with prostate cancer (47% were unsuspected), the incidence of metastatic bone disease was 90% [[87]]. The detection of bone metastases indicates progression to lethal prostate carcinoma [[88]]. At this stage, complete remissions are rare and onset of the complications of bone metastases are likely [[89]].The investigation of therapeutic intervention and its complication to slow the progression of bone disease and its complications make the need for accurate assessment of disease burden in the bone and its response to treatment of fundamental importance. PSA is used widely to monitor response to therapy, with a decrease in PSA to the normal range after treatment used as a predictor of prolonged response in many patients. However, PSA levels are influenced by both soft tissue and bony disease and PSA does not always correlate with tumour burden. Imaging bone disease in prostate carcinoma frequently involves a cascade of studies that start with Tc99m methylene diphosphonate (Tc99mMDP) bone scintigraphy, backed up by plain film correlation and followed by magnetic resonance imaging (MRI), computerised tomography (CT) or even positron emission tomography (PET)/CT. The implications of this multistep approach involve patient time, imaging time, costs and radiation dose. Validation of imaging biomarkers for bone derived from these studies has been hindered by a lack of a gold standard, as histological verification is not appropriate. Previous arguments that MRI is too costly and time consuming need to be revisited, particularly in the setting of its increased availability, and with the development of functional imaging approaches. Currently, the assessment of therapeutic response in clinical trials relies solely on qualitative assessment on bone scintigraphy, as Response Evaluation Criteria in Solid Tumours (RECIST) criteria classify osteoblastic bone metastases as non measurable [[90]]. This article reviews the characteristics of prostate bone metastases recognised with various imaging techniques in the context of their pathogenesis and explores the potential of these techniques for assessing tumour burden and response to therapy.
Prostate cancer is one of the most common diseases in the world. It primarily disseminate to the bone causing bone metastasis which can lead to death. To treat the disease it is important to diagnose bony metastasis as soon as possible. Bone metastasis is usually diagnosed by bone scan imaging. However the interpretation of bone scan imaging is not always an easy task for the physician. One way of minimizing the risk of misinterpretation is qualitative analysis of bone scan image in order to ascertain whether they show any metastatic lesion, if so, to what extent. Quantification of bone scan that is Bone Scan Index Method could be used for the prognosis of survival or to follow up the effect of treatment [[91]].
1.16Prognosis of the Prostate Cancer
This is the fact that the tumour response and disease progression represents a fundamental dichotomy the former is the time tested marker of therapeutic efficacy, whereas the latter is an essential sign of treatment failure [[92]].
Prostate cancer is the most common internal cancer in men. (For men, skin cancer is the most common cancer, and only lung cancer causes more cancer deaths.) About 1 in 6 men will be diagnosed with prostate cancer over the course of their life. But because so many prostate tumors are low-grade and slow growing, and men are usually older when they are diagnosed with it, most men diagnosed with prostate cancer eventually die of something else. The prognosis for men with localized prostate cancer is excellent. Nearly 100% of men with localized prostate cancer live at least 5 years after diagnosis. The same is true for men with regional prostate cancer, which means the cancer has spread from the prostate gland to nearby areas in the body. Only about 5% of men are diagnosed with advanced or distant cancer that has spread throughout the body. For these men, the 5-year relative survival rate is 29%.A survival rate indicates the percentage of patients who live a specific number of years after the cancer is diagnosed. A relative survival rate compares the survival of people with a specific type of cancer to the expected survival of people who do not have cancer and will die from other causes. Overall, for prostate cancer, the 10-year relative survival rate is about 98% and the 15-year survival rate is about 91%. After 15 years, survival rates stabilize. The odds of survival depend in part on how far advanced the cancer is when a man is first diagnosed. Men diagnosed with low-grade prostate cancers have a minimal risk of dying from prostate cancer for up to 20 years after diagnosis. However, men diagnosed with more aggressive forms of prostate cancer have a higher risk of dying within 10 years. If cancer recurs after initial treatment for early-stage tumours, it is still potentially curable if it is contained within the prostate, although in most cases the cancer has spread. Hormone treatments for such recurring cancers can often prolong survival for years, although the cancer almost always returns again [[93]].
1.16.1 Progressive Disease and Its Outcome
Table 1.3: Disease Progression and Outcomes [[94]]
|
Response |
Progression |
|
|
Timing is Assessment |
Assessed early in treatment Course |
Assessed in intervals until change of therapy |
|
Role in Clinical Practice |
Normally used to determine whether to change therapy |
Commonly used to determine when to change therapy |
|
Role in Clinical Research |
Primarily used to calculate overall response rate |
Primarily used to calculate time to progression end points |
The determination of progression is an essential part of the treatment and study of patients with solid tumours because it allows the calculation of clinical trial endpoints and also assists in determining clinical treatment failure. Yet a growing body of literature suggests that our current objective criteria for progression may not always indicate treatment failure and do not adequately capture disease biology, potentially limiting their value in clinical trial analysis [[95]].
The selection of imaging modality of a prostate cancer patient should be done based on the question that needs to be answered for a particular patient. Transrectal US, MR imaging, CT, radionuclide bone scanning, and PET each have advantages, disadvantages, and specific indications.
Accurate staging is important in the management of Prostate cancer patient. Low risk patients, based on Gleason score, Clinical T-stage and PSA values, have a low probability for metastatic disease, and imaging is not recommended. There are different modalities which are used for the localisation of Bone metastasis. It includes the following modalities:
Ø CT
Ø SPECT/CT
Ø PET/CT
Ø MRI
Ø Transrectal US
Ø Bone Scintigraphy
Although CT continues to be widely used in patients with newly diagnosed prostate cancer, it has virtually no role in prostate cancer detection or primary tumour staging. On CT scans, the separation between the prostate and the levator ani muscle is poorly defined, and intraprostatic anatomy is not well demonstrated. However, because of increased temporal resolution, multidetector CT, when properly performed, can more clearly depict intraprostatic anatomy. The major role of CT is in the nodal staging of prostate cancer, for which it is limited. Nomograms based on clinical data (PSA level, Gleason grade, DRE findings) provide risk stratification estimates that guide the appropriate ordering of imaging tests, including CT. For instance, it is recommended that CT should be performed only in patients with a PSA level greater than 20 ng/mL, Gleason score greater than 7, and/or clinical tumour stage T3 or higher . This is because the criterion for detection of positive nodal disease at CT is based on node size (> 1 cm diameter), and nodal enlargement due to metastases occurs relatively late in the progression of prostate cancer. Since nodal metastases are often microscopic, neither CT nor standard MR imaging can be used to reliably rule them out. Reported CT sensitivity for the detection of lymph node metastases varies, but it is typically in the range of 36%. One study published in 1980 reported an 85% sensitivity and 67% specificity, while another published in 1988 reported specificity of as low as 25% , which reflects the changes in the presentation of prostate cancer. Oyen et al found a sensitivity of 78% and a specificity of 97% by using a size criterion of 0.6 cm or larger. The same study also reported a specificity of 100% for CT combined with CT-guided fine-needle aspiration biopsy. The smaller size criterion (0.6 cm) and use of fine-needle aspiration have not been widely adopted. It should be noted that the reported sensitivity and specificity of CT are highly dependent on the proportions of high-, medium-, and low-risk patients in the population studied [[96]].
Overutilization of CT in the past may have been due in part to the emergence of widespread PSA testing and the resultant rapid shift toward detection of early-stage disease. Currently, the majority of patients with newly diagnosed localized prostate cancer are at low risk for metastases, and the diagnostic yield of CT is low in these patients. However, unusual or discrepant clinical data may prompt imaging even if an individual's risk falls below the recommended thresholds.
CT can be useful as a baseline examination in high-risk patients with clinically apparent, grossly advanced local disease (gross extracapsular disease, gross SVI, or invasion of the surrounding structures, including bladder, rectum, levator ani muscles, or pelvic floor). These patients will almost always fall above the cutoff recommendations for the appropriate use of CT imaging on the basis of DRE findings, PSA level, and Gleason grade; they will also be at risk for lymph node metastases, which may be assessed concurrently [[97]].
Metastatic lymph nodes (stage M1) are nodes that lie outside the confines of the true pelvis as outlined earlier, with enlarged nodes typically measuring more than 1.0 cm in the short axis. Nodal disease often progresses in a step-wise fashion, such that retroperitoneal or meditational nodal disease is most often accompanied by pelvic lymphadenopathy in the obturator regions .Metastases to the pelvic lymph nodes, thought to be uncommon in patients with early-stage prostate cancer, are reported in only 2%–5% of patients, but there is some uncertainty about the adequacy of pelvic lymphadenectomy in those series. Removal of grossly enlarged nodes has not been shown to have therapeutic value in prostate cancer. However, removal of microscopically positive pelvic lymph nodes during prostatectomy does provide long-term cancer control in 15%–20% of patients. The cancer-specific survival rate for patients with positive pelvic lymph nodes is excellent (83% ± 3 at 10 years for patients with lymph node metastasis found at pelvic lymphadenectomy).
CT has been used to monitor bone metastases, but bone scanning and MR imaging are superior to CT in the diagnosis of bone metastases. Lytic and blastic bone metastases will commonly be visible at CT, however, and should not be overlooked. CT scans may be normal in cases of metastatic disease detected at radionuclide bone scanning, but CT allows more accurate distinction of malignant from benign causes of increased radioisotope uptake at bone scanning. Individual osseous metastases are more accurately defined as individual lesions on a CT scan than on a bone scan and, therefore, clear changes in osseous lesions seen at CT can be used to monitor responses to systemic therapy. Caution should be exercised in interpreting all osteoblastic lesions as metastases, as CT typically depicts the effects of tumour cells on normal osteoblasts rather than directly reflecting metastases, and bone changes in response to therapy may lag behind therapeutic effects [[98]].
Structural along with the statistical information about cancer of different organs can also be obtained using dual modality imaging which are CT scan and the SPECT. The CT scan tells us about the structural information of the body whereas the SPECT tells us about the functional status of that organ. SPECT/CT provides more precise information about the lesion in the vertebrae [[99]].
This is used in the cancer patients for the Carcinoma. It is usually used for the local staging of the early prostate cancer. With MRI it is possible to distinguish between soft tissues with different properties. The carcinoma Prostate can be more accurately précised by MRI as compared to the rest of the organs especially with the extra capsular extension [[100]].
It can provide high resolution three dimensional imaging of the human body. This method together with CT scan has proved to be very highly specific for enabling the metastasis in bones and tumour in soft tissue tumour. The limitation lies with the cost and availability of the modality in different hospital set up [[101]].


Figure 1.16: PET scan [[102]].
Transrectal US is the most widely used clinical imaging method, and it is the essential imaging tool for prostate cancer biopsy guidance. It is indicated to guide prostate biopsy when abnormal rectal examination is detected for prostate, to guide application of cryothreapy and brachytherapy for the treatment of prostate cancer, to evaluate and stage prostate and rectal cancer, to evaluate and guide treatment for prostate, rectal, anal abscess, tumour fistula or any pelvic inflammatory disease.
It is easy to use, widely available and less expensive. Moreover it does not use any ionizing radiation, gives a clearer picture of soft tissue that cannot be seen in X-rays, causes no health problems and can be repeated as much as can if indicated for any health problems. It provides real-time-imaging so Is perfectly good for minimally invasive procedures such as needle biopsy and fluid aspiration. The disadvantages if the transrectal USG is that the patients with their bowel removed during or prior surgery are not good candidates for USG of the prostate as it always require a placing a probe into the rectum.
When prostate cancer is suspected, the diagnostic test of choice is a systematic needle biopsy with US guidance. Before biopsy, the patient is prepped with an enema and antibiotics (quinolone analogs). With the patient in the decubitus position, the transrectal US probe is placed in the rectum, the prostate and seminal vesicles are visualized, and the images are recorded in transverse and sagittal planes. And moreover the biopsy can be taken simultaneously under the USG guidance. A single biopsy session has a sensitivity of 70%–80% for the detection of cancer. To minimize the need for repeat biopsy sessions, many physicians obtain more cores the first time. Separate samples of the anterior prostate (or transition zone) are usually not obtained unless previous biopsy sessions have failed to find a suspected cancer (eg, in a patient with a high PSA level, abnormal findings at digital rectal examination [DRE], and multiple negative peripheral zone biopsy specimens), or imaging with transrectal US or MR suggests an anterior cancer [[103]].
Diagnostically, transrectal US is used to measure the volume of the prostate gland, an important factor in computing “PSA density” (serum PSA level in nanograms per millilitre divided by the volume of the prostate in cubic centimetres). Moreover, the volume as measured with transrectal US can be used in staging and in predictive nomograms. Cancer, depending on its size, grade, and location, usually appears hypoechoic relative to the normal peripheral zone of the prostate (only approximately 1% are hyperechoic). As a diagnostic test for cancer, transrectal US without biopsy is as accurate as DRE and complements the physical examination. Some palpable cancers are not visible at US, and some visible cancers are not palpable. With the shift toward smaller, early-stage cancers, many cancers detected at biopsy are not visible at US (low sensitivity) and many hypoechoic areas do not prove to be malignant at biopsy (low specificity); therefore, transrectal US alone, without the addition of biopsy, has limited value in the detection of cancer [[104]].
Transrectal ultrasound has been used for the staging of primary cancer but is generally considered insufficient. The criterion for identifying extracapsular extension on transrectal US scans are bulging or irregularity of the capsule adjacent to a hypoechoic lesion. The length of the contact of a visible lesion with the capsule is associated with the probability of extracapsular extension. Seminal vesicle invasion (SVI) is heralded by a visible extension of a hypoechoic lesion at the base of the prostate into a seminal vesicle or by echogenic cancer within the normally fluid-filled seminal vesicle. Asymmetry of the seminal vesicles or solid hypoechoic masses within the seminal vesicles are indirect indicators of disease extension. When extraprostatic extension into the seminal vesicles is suspected, additional transrectal US-guided biopsies of the seminal vesicles can be performed.
Transrectal US continues to play an important role in therapy. Worldwide, transrectal US is the modality of choice for directing brachytherapy seeds into the prostate . Cryotherapy of the prostate also requires US guidance as does high-intensity focused ultrasound, which, coupled with US targeting, is used for focal ablation of prostate cancers. New treatment approaches such as hyperthermia, photodynamic therapy, and direct injection of oncolytic viruses, tumor vaccines, and gene therapy also depend on transrectal US for easy access to cancers of the prostate. While guidance techniques using MR imaging and other modalities are being developed, transrectal US will continue to play a major role in the management of prostate cancer, not least because of its wide availability and relatively low cost. Of course, the advantages of transrectal US (flexibility and relatively low cost) are balanced by its limited ability to define the prostate cancer in situ. The latter makes evaluation of US-guided therapies difficult, because recurrence could result either from the tumor being missed during treatment or from the inability of the treatment modality to kill the tumor [[105]].
Future developments in transrectal US include the use of microbubble contrast agents and targeted imaging. Microbubbles are relatively large, micrometer-sized, gas-filled bubbles that can be seen with exquisite sensitivity with real-time US. Indeed, by using harmonic imaging and encoded phased imaging, single microbubbles can be detected. Moreover, microbubbles can be coated with surface ligands, which preferentially target tumor neovascularity. Because of their large size (>1 μm), these agents are mostly confined to the vascular space and hence provide information primarily about large-vessel microvascularity but nonetheless could play a major role in improving cancer detection in the future [[106]].

Figure 1.17: Ultrasound guided biopsy of prostate [[107]]
The bone scintigraphy is usually indicated in neoplastic diseases, occult fracture,osteomyelitis, stress reaction, stress fracture, avascular necrosis, arthritidies, reflex sympathetic dystrophy, bone infarcts, bone graft viability, otherwise unexplained bone pain,distribution for osteoblastic activity before treatment for the bone pain. The axial skeleton, the primary site of active marrow, is the most common distribution of metastatic spread for patients with prostate cancer. At this time, there is no standard means by which osseous lesions can be directly visualized or quantified; thus, there is no qualified imaging biomarker for prostate cancer. Over the last 30 years we have seen revolutionary developments in the field of medical imaging. Three dimensional motion algorithms for calculation of myocardial elasticity using MRI .Quantitative measurements of myocardial perfusion using PET and quantification of left ventricular function from gated SPECT are few examples. Moreover few internal organs like brain and spine can be used for three dimensional volumetric imaging such as CT and MRI. Quantitative analysis is common in areas like nuclear cardiology but due to the last few years different researches have been carried out for the quantification of bone metastasis on bone scans.
Bone scintigraphy is commonly used to assess disease burden and treatment effects, but it is an imperfect modality for quantifying disease or for demonstrating treatment effects. Bone scans do not specifically identify cancer, can paradoxically worsen in the face of response (“flare”), and frequently improve only slowly if at all, despite patients receiving active treatments. Nonetheless, bone scans are standard, widely used, and reimbursed, and therefore they appear in nearly every clinical trial of castration-resistant metastatic prostate cancer (CRMPC) as eligibility criteria and response measures. To mitigate the shortcomings of bone scintigraphy, there has been a recent effort to standardize bone scan interpretation and data collection by using consensus criteria to define progressive disease, control for flare, and establish criteria for data collection. These end points are being validated in several ongoing phase III studies. However, to develop bone scintigraphy as an imaging biomarker, a quantitative measure is needed for comparing baseline and on-treatment status. In the past, methods of quantifying bone lesions have included lesion counting, lesion scoring on a scale from 0 to 2, lesion rating of negative versus positive. The bone scan index (BSI) was developed as a quantitative tool to improve the interpretability and clinical relevance of the bone scan. The BSI is a method of expressing the tumour burden in bone as a percent of the total [[108]].
1.17.6.1 Rational of Bone Scintigraphy
Bone scintigraphy is a diagnostic study used to evaluate the distribution of active bone in the body anywhere due to any pathology.
1.17.6.2 Patient Preparation and Procedure
Whole procedure should be explained to the patient and unless any contraindication patient should be well hydrated and is instructed to drink two or 8 oz glasses of water between the time of injection and the time for delayed imaging. The patient should be directed to micturate immediately before delayed image and drink plenty of water for at least 24 hours of radiopharmaceutical administration.
1.17.6.3 Radiation Dosimetry in Adults
Table 1.4: Radiation dosimetry in adults [[109]]
|
Radiopharmaceutical |
Administered Activity MBq (mci) |
Organ Receiving the Largest Radiation Dose mGy/MBq (rad/mCi) |
Effective Dose mSv/MBq (rem/mCi) |
|
99mTc-Phosphates and Phosphonates |
740-1110 (20 - 30) Intravenously |
Bone 0.063 -0.23 |
0.008 -0.03 |
1.17.6.4 Uptake Mechanisms of Bone Seeking Radiopharmaceuticals
Bone is a composite material of inorganic crystals bound to protein. The mineral phase, built of crystals containing mainly calcium and phosphate, is called hydroxyapatite. This mineral phase is bound to a matrix largely consisting of a single protein, collagen. The mineral content determines the stiffness of bone. Without sufficient mineralization, bones will plastically deform under load. Collagen provides toughness to bone, making it less brittle so that it better resists mechanical stress. The healthy adult bone is in homeostasis, with a constant rate of remodelling due to the activity of osteoblasts laying down new bone and osteoclasts resorbing old bone. Bone adapts to repetitive mechanical stresses largely by changing its size and shape, which are major determinants of its resistance to fracture. Anatomically, bone tissue consists of compact (cortical) and cancellous (trabecular) bone, which perform different functions; compact bone forms the diaphyses of long bones and the surface of flat bones, whereas cancellous bone is found in the epiphyseal and metaphyseal regions of long bones and the interior of flat bones. Bone is in a constant state of remodelling or turnover, which is essentially a surface phenomenon. Although cortical bone forms most of the bone mass, it represents the minority of bone surface. By comparison, cancellous bone forms only 20% of the bone mass but accounts for 80% of the bone turnover associated with remodelling [[110]].
1.17.6.5 Physiologic Mechanism of Radiopharmaceutical Uptake
The pharmacokinetics of bone-seeking radiotracers essentially depends on the rates of bone uptake and elimination from the circulation via renal excretion. Radiotracer Delivery 99mTc-labeled diphosphonates (99mTc-MDP and 99mTchydroxymethylenediphosphonate) and 18F-NaF are essentially markers of both bone perfusion and bone turnover. After intravenous administration, the principal uptake mechanism of bone-seeking radiotracers involves adsorption onto or into the crystalline structure of hydroxyapatite. The first step in this cascade is radiotracer delivery, which depends on local blood flow and the rate of radiotracer extraction by bone. 99mTc-MDP undergoes protein binding in blood, which increases over time from around 25% at injection to about 50% at 4 h after injection. Only unbound tracer will be available for bone uptake. According to the simplified Renkin and Crone capillary transport model, the net exchange of a substance between blood and tissue depends on blood flow, surface area, and the permeability of the capillary system. 99mTc-MDP undergoes passive diffusion through the capillary wall into the extravascular space. The diffusion rate is proportional to the molecular size; therefore, diffusion of small molecules is expected to be more rapid than that of 99mTc diphosphonates. In addition, there is evidence that the extraction fraction of 99mTc-diphosphonates varies with blood flow. Performing outflow dilution experiments in, McCarthy et al. showed that the extraction fraction of 99mTc-MDP decreased substantially with increasing blood flow [[111]]. In addition, they determined that the permeability-surface area remained unchanged, indicating that additional recruitment of capillaries under high flow conditions does not occur. It is observed that there is increased blood flow on 99mTc-MDP uptake to the area, secondary to the presence of a primary bone malignancy. In contrast to g-camera imaging, PET imaging allows absolute quantification of radiotracer concentrations in tissue. Dynamic PET compartment modelling is needed to measure bone blood flow and the metabolic rate of fluoride binding to bone.
1.17.6.6 Radiotracer Localization to Bone
The mechanism of binding of extravascular 99mTc diphosphonates to bone is due to physicochemical adsorption (chemisorptions) to the hydroxyapatite structure of bone tissue. Using autoradiography, the deposition of 99mTc diphosphonates was found to occur at the mineralization front of bone (osteoid) and at the osteocytic lacunae, but not near osteoclasts. In the growing skeleton, mineral deposition is predominantly seen at epiphyseal growth plates and osteochondral junctions. In contrast to 99mTc-diphosphonates, a certain fraction of extravascular fluoride is directly incorporated into the bone matrix, because fluoride ions exchange with hydroxyl groups in the hydroxyapatite crystal of bone to form fluoroapatite [[112]].
99mTc-diphosphonate compounds belong to the class of bisphosphonates, which are not significantly metabolized in vivo. Thus, renal excretion is the primary route for their elimination. Hyldstrup et al. showed that the renal filtration fraction of free (non–protein-bound) 99mTc-MDP is the same as that for 51Cr-ethylenediamine tetra acetic acid, itself a measure of the glomerular filtration rate; thus, the renal elimination rate of 99mTc-diphosphonates depends mainly on glomerular function. Since the plasma binding of 18F-NaF is small, fluoride ions are freely filtered in the glomeruli. Fluoride, however, also undergoes tubular reabsorption. As a result, renal clearance of 18FNaFis dependent on overall urinary flow, because tubular reabsorption of fluoride increases with decreasing glomerular filtration rate. Therefore, it is recommended that patients undergoing 18F-NaF PET be well hydrated to reduce radiation exposure.
1.17.6.8 Environmental Factors Influencing 99mTc-MDP Accumulation
Other environmental factors may influence the accumulation of 99mTc-MDP and 18F-NaF as well. Although renal clearance of 18F-NaF is modulated by urinary pH and diet, renal clearance of 99mTc-MDP is affected by phosphate concentration and pH. Also, the adsorption of 99mTc- MDP to hydroxyapatite appears to increase at low pH [[113]].
1.17.6.9 Serial Bone Imaging at Multiple Time Points
Pathophysiology of Bone Metastases. Disseminated tumour cells that successfully invade bone depend on adhesion mechanisms, interacting with the extracellular matrix Staging of Bone Metastases. Bone scans are sensitive, cost-effective, whole-body imaging modalities for staging cancers that have a predilection for bone metastases, with overall sensitivity between 62% and 100% and specificity of 78%–100%. However, false-negative studies are commonly seen with osteolytic lesions, resulting in poor sensitivity (as low as 50% for myeloma). Use of SPECT/CT has been shown to improve specificity, with a reduced number of indeterminate bone lesions (compared with planar imaging) for staging of lung cancer bone metastases.
18F-FDG PET/CT for oncologic staging is highly sensitive for detection of bone metastases. For staging of lung cancer skeletal metastases, a meta-analysis that included 7 Studies (1,794 patients) reported 18F-FDG PET sensitivity of 98% and specificity of 95%—superior to the conventional bone scan sensitivity of 87% and specificity of 82%. On imaging, osteoblastic, osteoclastic, or mixed phenotypes lead to mainly sclerotic, lytic, or mixed lesions, respectively. The predominant phenotype affects the detection potential of radiotracers. Thus, 18F-FDG PET has higher sensitivity for early marrow metastases and lytic lesions than do bone-seeking tracers.
18F-NaF PET is a highly sensitive method for detection of primary bone tumours and osseous metastatic disease from a range of primary tumors, including lung, breast, prostate, thyroid, and squamous cell cancers of the head and neck. Generally, increased 18F-NaF uptake is found in sclerotic and mixed lesions and at cortical locations. 18F-NaF PET has superior sensitivity to 99mTclabeled diphosphonate bone scanning using planar and SPECT protocols. When combined with hybrid PET/ CT imaging, 18F-NaF was able to clarify many findings otherwise equivocal on conventional bone scanning. Krüger et al. compared 18F-NaF PET with 18F-FDG PET and 99mTc-MDP bone scanning in 126 patients with non–small cell lung cancer. 18F-NaF PET was superior in sensitivity to 99mTc-MDP and comparable to 18F-FDG PET. For biochemical relapse of prostate cancer, 18F-NaF appears to have greater diagnostic yield than 18F-FDG. In a comparative study between 18F-NaF PET and 18F-choline PET, 18F-NaF resulted in higher numbers of detected bone metastases, although detection of additional sites of disease did not alter management 18F-NaF uptake may display a post treatment flare phenomenon, similar to that reported in 99mTc-MDP bone scans [[114]].
1.18Bone Scintigraphy in the Assessment of Bone Metastasis
Change in bone mineral turnover, whereas the bone must demineralise by 50% before a lesion is detected by plain film. It can also detect bone metastases up to 18 months before plain film reveals them [[115]]. However, because bone scintigraphy images the secondary effects of the tumour on the skeleton, false positives occur from degenerative change, inflammation, Paget’s disease and trauma. The osteoblastic response that occurs as a result of bone healing/flare response can also lead to a false-positive diagnosis of disease progression. The sensitivities and specificities for detection of bone metastases by MDP bone scintigraphy have sometimes been quoted, but the absence of a histological gold standard means that these are not sensitivities and specificities in the true sense. Comparators vary from study to study, but PSA, soft tissue disease, follow-up and other imaging modalities are often used as a gold standard, all with their own limitations. The flare phenomenon on radionuclide bone scan in patients with prostate cancer has been reported at anywhere between 6 and 25% and is also a feature observed on plain film. It may be because of an increase in blood flow caused by an inflammatory response or an increased turnover of hydroxyapatite in the new bone laid down as part of the healing process. In prostate cancer, if the scan taken 3 months after introduction of therapy shows worsening of disease, there is a high probability that this is real. If, however, the patients’ clinical parameters indicate a response, then flare should be considered. A follow-up scan at 6 months can resolve the issue .Regardless of the flare phenomenon, the sensitivity of bone scintigraphy in detecting a response to therapy remains questionable; metastases showed by bone scintigraphy have been shown to remain stable despite other parameters indicating a response found purely sclerotic bone metastases impossible to assess on bone scintigraphy, as increased sclerosis without scintigraphic changes occurred in the responding and non-responding patients. In the responding patients (as judged by disease in non-osseous sites), any detectable response on bone scan is often delayed by up to 6–8 months and it can take over 2 years for complete resolution of bone scintigraphy findings , even when all of the disease has been eliminated from the bone. Conversely, a stable positive scintigraphic lesion, in conjunction with a fading sclerotic lesion on radiographs in a positive scintigraphic lesion, can be a sign of progression .A further source of debate is the occurrence of a new lesion on bone scintigraphy. Previously, this was thought to rule out flare response but it has been shown that appearance of a new lesion on bone scans or plain film within 6 months of initiation of therapy can be a part of the flare response as a result of the healing of previously occult lesions [[116]].

Figure 1.18: Gamma Camera with capability to acquire planar whole body and tomography images [[117]].
Descriptive reports provided by bone scintigraphy, although useful for diagnosis, are limited when assessing the response to therapy, in which more quantitative information is desirable. The Bone Scan Index proposed by Imbriaco et al, which quantifies the proportion of the skeleton involved by tumour as well as the distribution of disease, has not been widely adopted. Other proposals include an automated assessment of the percentage of involvement by metastatic bone disease on bone scintigraphy to monitor response to therapy. Although scoring systems of this type may relate to prognosis and response to therapy, they can be time consuming and variable.Other limiting factors are the lack of anatomical detail. Combined single-photon emission computerised tomography (SPECT) and X-ray CT improve anatomical detail and reduce the number of equivocal lesions detected on bone scintigraphy [[118]]. Bone scintigraphy therefore does have a role in the assessment of prostatic bone metastases but should not be used in isolation when considering response to therapy.

Figure 1.19: (A) Normal and (B) Pathological bone scan [[119]].
1.19Quantitation of Bone Metastasis Using Bone Scans
Different methods for the quantitation have been used for the calculation of tumour burden in the carcinoma prostate and other metastatic bone diseases. These methods include the following:
1.19.1 %BSI Quantitation Method
This method was first designed by David et al. in an article named ‘A Novel automated platform for quantifying the extent of skeletal tumour involvement in prostate cancer patients using the Bone Scan Index’. In this study analysed 263 bone scans from 90 patients being studied under four protocols at Memorial Sloan-Kettering Cancer Centre for progressive ,androgen independent prostate cancer (APIC), who had bone scans as a part of their work-up. This study was based upon (a) the intraobserver and interobserver variability of the BSI: (b) the intraobserver and interobserver variability of the BSI; (c) the comparison between a change in BSI and prostate-specific antigen (PSA); (c) the regional distribution of bony metastases in early stage D prostate cancer (<3% skeletal involvement); and (d) the rate of growth of bony metastases from prostate cancer. There was parallel rise in BSI and PSA in 24(105) patients treated for APIC with hydrocortisone. In a group of 27 patients with limited bone disease of APIC the BSI calculated was <3%. Moreover in a group of 21(62 scans) patients the change in BSI as a function of time explored graphically. So it was concluded that serial bone scan BSI appears capable of quantifying both the progression of tumour involvement by tumour as well as response to treatment.
Later same BSI method was used by Elizabeth et al. under the article named as ‘Bone Scan Index: A quantitative treatment response biomarker for castration resistant metastatic prostate cancer’. In which prognosis of survival was calculated. 88 patients were scanned, 81 of whom have died. And were analysed using univariate and bivariate analysis. It was analysed that a doubling in BSI resulted in a 1.9 fold increase in risk of death and was concluded as the On-treatment changes of BSI are a response indicator and support further exploration of bone scintigraphy as an image biomarker.
Bone scan index represents the total skeletal mass which tumours take up [[120]], it is a valuable metric for estimating the burden in patients with advanced prostate cancer. It is a reproducible and quantitative expression of tumour burden seen on bone [[121]]. It also act as prognostic tool in advanced prostate cancer. It is useful for stratifying the carcinoma prostate patients entering treatment protocols for the extent of the tumour involvement of the bone. It is also suggested for the development of a treatment response biomarker in prostate cancer. There is also an automated method for the calculation of %BSI, as Automated Quantification of BSI based on the original method developed by ‘Memorial Sloan-Kettering Cancer Center, New York, USA’. [[122]].The %BSI automated method is available commercially. This has been developed by ‘EXINI Diagnostics AB’. Moreover it can be calculated manually as Based on ICRP Publication No.23, 158 bones were listed by name and the weight of each bone was expressed as a fraction of the weight of the entire skeleton. The fractional involvement of each bone will be calculated visually on each bone scan. BSI values can be obtained by summing the product of the weight and the fractional involvement. So by designing a BSI calculator in Microsoft excel such that the weight in grams of each bone is multiplied with the percentage of the bone involvement and then is divided by the total percentage of the respective bone i-e 100 % the percentage Bone scan index can be obtained.
1.19.1.1 Utility of %BSI in Advanced Prostate Cancer
1.19.1.2 %BSI acts as Prognostic Tool in patients with Advanced Prostate Cancer
In high risk and metastatic prostate cancer, BSI is associated with patients survival and correlates with other biomarkers of disease burden while adding independent prognostic information. The relationship between BSI and Predictive median survival time (months) suggests that increased BSI is associated with decreased survival [[123]].

Figure 1.20: The relationship between BSI and Predictive median survival time (months) [[124]]

Figure 1.21: Rapid Disease progression in patients with BSI>1 than with BSI<1 [[125]].
1.19.1.3 BSI is Useful for Stratifying Patients with Prostate Cancer Entering Treatment Protocols
Patients stratified by BSI differ significantly in disease severity, Disease progression rate and survival. Overall survival probability is higher for the patients having BSI<1 than for the patients with BSI<1. The broken line shows an age matched control survival curve for patients without metastasis.

Figure 1.22: Overall survival probability is higher for the patients having BSI<1 than with BSI<1 [[126]].
BSI is suggested for the development of treatment response indicator in prostate cancer. On-treatment BSI change in BSI is demonstrated to be associated with overall survival in patients with metastatic castration-resistant prostate cancer on immunomodulator or chemotherapy.

Figure 1.23: Patients on immunomodulator (Tasq) treatment showed a slower BSI-increase than patients on the placebo [126]
1.19.2 Extent Of Disease (Grading)
Similarly Extent of Disease was also measured by using bone scans. The extent of disease is basically based on the paper by [[127]]. The total numbers of lesions were determined by visual counting of each discrete lesion. The metastatic findings on bone scans were classified into four groups from Grade 1-4. Grade 1 is for the lesions less than six but single vertebrae involvement is taken as 2 lesions, Grade 2 is for the lesions greater than 6 but less than 20. Grade 3 is for the lesions greater than 20 but less than super scan. Grade 4 is for the super scan in which whole skeleton is involved diffusely.
Based on the Extent of disease evidence based data by Soloway et al. 1988 [127], it has been observed that EOD in correlation with the PSA acts a good prognostic factor for calculating the tumour burden and altering the treatment based on these tools along with other factors like alkaline phosphatase and clinical status of the patient. And after calculating the results, disease progression or disease regression can be commented upon by the number of lesions on the bone scan [[128]].
1.19.3 %PAB (Positive area on bone scan) Method
Other method of quantitation includes %PAB (Positive area on bone scan). It was explained by M.Noguchi et al. [129] to provide simply a quantitative measure of extent of disease on bone scan. All the positive regions on the bone scans were transferred by tracing a comprehensive mss of the entire bone metastasis. These findings were converted into image files using digitizing pad and drawing programme (Mac Paints, Claris Corp., Santa Clara, CA, USA) with a Macintosh computer (Apple, Inc., Cupertino, CA, USA). The sum of all positive areas was automatically measured using an image analysis program (NIH Image developed and maintained by the National Institutes of Health, Bethesda, MD, USA). The fractional involvement of the entire skeleton by metastasis was estimated as the %PABS. The %PABS was calculated using the formula %PABS= (positive area on bone scan/square area) *100, in which the square area was multiplied by the width at the gluteal region to the height of the entire skeleton on the bone scan via this study it was concluded that the % PAB automatic software quantitation is a simple and reproducible method to estimate the percentage of skeleton involved in tumour. This method may be useful to stratify patients in clinical trials and to provide prognostic information [[129]].
1.19.4 Bone Lesion Scoring (BLS) Method
Bone Lesion Scoring is another quantitation method that has been designed for calculating the tumour burden by using bone scans of metastatic bone disease. (Proposed by Prof. Guiliano Mariani, Universtiy di Pisa Italy, verbal Communication).
1.20Use of Biochemical Markers to Predict the Skeletal Morbidity and Clinical Outcome
Metastatic bone disease results from the interactions between cancer cells in the bone marrow microenvironment and normal bone cells. These growth factor and cytokine-mediated interactions lead to stimulation of osteoclastic bone resorption and both uncoupled and unbalanced bone remodelling. The effects of cancer on bone cell function can now be assessed accurately by the measurement of specific biochemical markers; for the assessment of bone resorption, these markers are derived from the breakdown of type I collagen, the main protein of bone. It is the result of this tumours-induced osteolysis and subsequent loss of the structural integrity of bone that may lead to bone pain, fractures, and other important skeletal complications, rather than stimulation of osteoblastic new bone formation [[130]]. In other words, the resorptive element of the process largely drives the clinical consequences. However, not all patients with bone metastases experience significant complications, either because of dominant disease at other sites dominating the clinical course or effective control of the skeletal disease by local or systemic treatments. Recent studies indicate that risk of skeletal complications in both breast and prostate cancer is strongly related to the rate of bone resorption. Such events are uncommon when bone resorption is normal but become increasingly frequent as the bone resorption rate increases [[131]].
Ø To determine the utility bone scan quantitative parameters as disease status indicator.
Ø To compare four different bone scan quantitative parameters.
Ø To evaluate quantitative bone parameters as prognostic indicator in prostate cancer
3 MATERIALS AND METHODS
The study was conducted at N.O.R.I (Nuclear Medicine Oncology and Radiotherapy Institute, Islamabad) from October 2013 to April 2014. The synopsis was approved by P.I.E.A.S, Ethical Review Committee N.O.R.I hospital.
Patient’s Demographic Data:
Total 141 patients with baseline bone scans were included in the study. The characteristics of the study population are depicted in the table 3-1.
Table 3.5: Patient's Demographic Data (Baseline bone scan)
|
Variable at Baseline |
No. of Patients |
% |
Median |
Range |
|
|
Age, Years |
|
141 |
|
75 |
24 |
|
PSA ng/ml |
|
141 |
|
380 |
1236 |
|
Patient Status |
Dead |
21 |
14.89% |
|
|
|
Alive |
120 |
85.11% |
|
|
|
The patients with both baseline and follow up scans were 40 in total with median age of 77 and median PSA level of 200. The demographic data is given in the table 3-2.
Table 3.6: Patient's Demographic Data (Baseline and follow up scans)
|
Variable at Baseline |
No. of Patients |
% |
Median |
Range |
|
|
Age, Years |
|
40 |
|
77 |
23 |
|
PSA ng/ml |
|
40 |
|
200 |
1614 |
|
Patient Status |
Dead |
13 |
32.50% |
|
|
|
Alive |
27 |
67.50% |
|
|
|
Study design: Cross Sectional Study.
Place of study: Nuclear Medicine department of NORI
Duration: Six months.
Sampling Method: Non probability purposive sampling method
Sample size: 141 Patients with histopathologically proved Prostate Cancer.
(Baseline and Follow up scan of 40 patients with hormonal treatment).
Sample Selection:
Inclusion Criterion:
Ø Histological confirmed prostate cancer patients referred for evaluation of osseous metastasis within three months of diagnosis.
Ø Written informed consent.
Exclusion Criterion:
Ø < 18 years.
Ø Patients in which PSA levels was not available
Ø Patients having other co-morbids.
Every patient included in our study underwent Bone Scintigraphy and later the quantitative parameters were applied on the bone scan.
We have applied different methods of quantitative parameters for the assessment of tumour burden on the bone scan baseline and follow up bones can. These methods include:
% BSI (Bone Scan Index).
Extent of Disease (EOD)
%PAB (Positive areas on bone scan).
Bone Lesion Scoring (BLS) Method.
Whole body images were acquired on dual head gamma camera (GE infinia camera with Xeleris2 workstation) simultaneously in both anterior and posterior projections at 4 hours after the radiopharmaceutical injection. The radiopharmaceutical used for bone scintigraphy was 99mTc-MDP (Methylene Diphosphonate).
3.1.1 Radiopharmaceutical & its Preparation
It includes Quality Control (QC) of radioisotope as well as radiopharmaceutical.
3.1.3 Quality Control of Radioisotope
QC of radioisotope mainly accounts for testing the aluminium content in freshly eluted 99mTc-pertechnetate and also for testing any 99Mo breakthrough.
3.1.4 99Mo Breakthrough
It was tested by setting the window of dose calibrator for 99mTc, and recording the reading for the fresh elute obtained from 99Mo-99mTc generator. Then dose calibrator window was set for 99Mo and same vial was placed in 99Mo breakthrough shield to check 99Mo breakthrough activity. Maximum upper limit for the 99Mo activity is 1 µCi/mCi [[132]] of 99mTc at the time of elution. Fresh elutes were only used for studies when Al contents and 99Mo breakthrough were within permissible limits.
3.1.5 Quality Control of Radiopharmaceutical
The quality control of radiopharmaceutical was done by Instant Thin Layer Chromatography (ITLC).

Figure 3. 1 Quality control of kits using ITLC


Figure 3.2: Chromatogram showing % of Tc-MDP
3.1.6 Quality Control of Gamma Camera
Quality control for planar systems like gamma camera was based on measurement of system uniformity and resolution on a daily and weekly basis respectively. Additional, but less frequently performed QC measurements include checks of collimator integrity, multiple window spatial registration and for some systems, whole body uniformity. The uniformity of gamma camera was checked daily using Tc 99m point source placed at a distance of four times the detector field of view. Measurement of linearity and resolution was generally performed on weekly basis.
3.1.7 Patient Preparation and Procedure
Whole procedure was explained to the patients regarding bone scintigraphy and unless any contraindication patients were well hydrated and were instructed to drink two or 8 oz glasses of water between the time of injection and the time for delayed imaging. The patients were directed to micturate immediately before delayed image and were directed to drink plenty of water for at least 24 hours of radiopharmaceutical administration.
3.1.7.1 Radiation Dosimetry in Adults
The dose for the bone scintigraphy is given in the table 3-3.
Table 3.7: Radiation dosimetry in adults [[133]]
|
Radiopharmaceutical |
Administered Activity MBq (mci) |
Organ Receiving the Largest Radiation Dose mGy/MBq (rad/mCi) |
Effective Dose mSv/MBq (rem/mCi) |
|
99mTc-Phosphates and Phosphonates |
740-1110 (20 - 30) Intravenously |
Bone 0.063 (0.23) |
0.008 (0.03) |
Following quantitative parameters were applied on the bone scans:
3.1.8 %BSI (Bone Scan Index) Method
%BSI is one of the most frequently used quantitation method and is also available as commercial software. Based on ICRP Publication No.23 [134], 158 bones were listed by name and the weight of each bone was expressed as a fraction of the weight of the entire skeleton. The fractional involvement of each bone was calculated subjectively on each bone scan. BSI was calculated by summing the product of the weight and the fractional involvement. So it has been carried out manually by designing a BSI calculator in Microsoft excel such that the weight in grams of each bone is multiplied with the percentage of the bone involvement and then is divided by the total percentage of the respective bone i-e 100 %.

Figure 3. 3 Fractional involvement of bone due to metastasis and BSI calculation
Formula Used:
=
ABC (Grams)
![]()
Total Weight Male = 5500gms
% of total fresh skeletal mass in grams used for calculation is shown in the table below [ICRP-23] [[134]].
Table 3.8: Percentage of Total Fresh Skeletal Mass in Grams [134]
|
Regions |
Weight in Grams |
%age weight |
|
Head: Skull |
649 |
11.80% |
|
Mandible |
66 |
1.20% |
|
Trunk: Vertebrae + Sacrum |
66 |
1.20% |
|
Ribs |
385 |
7.00% |
|
Sternum |
66 |
1.20% |
|
Limbs: Femora |
842 |
15.30% |
|
Tibiba & Fibula |
622 |
11.30% |
|
Pelvic Bones |
583 |
10.60% |
|
Feet |
346 |
6.29% |
|
Humeri |
292 |
5.30% |
|
Radii & Ulana |
198 |
3.60% |
|
Scapula |
198 |
3.60% |
|
Hands |
127 |
2.30% |
|
Clavicle |
44 |
0.80% |
|
Patella |
39 |
0.70% |
This method of quantitation was applied to 141 patient’s baseline scan and also to 40 patients with both the baseline and follow up scans. Value of 1 was used as cut off, below that patients were considered low risk for disease progression and above that were considered as high risk for disease progression. This value was chosen based on the previously published study in which the cut off was used for the purpose of calculation [125, 126].
3.1.9 Extent of Disease (EOD) -Grading
This method of quantitation is based on the subjective assessment of osseous metastasis on the bone scan the number of osseous metastasis is labelled as a specific grade, grade 0 means no evidence of bone metastasis, and grade 1 to 4 represents increasing osseous metastasis respectively as mentioned in table 3-4.
Table 3.9: Extent of disease (Grading)
|
Grade |
Extent of Disease |
|
Grade -0 |
No Metastasis |
|
Grade- 1 |
< 6 Bone Mets, Vertebral Body = 2 |
|
Grade-2 |
6-20 Bone Mets |
|
Grade-3 |
> 20 Bone Mets but < Super Scan |
|
Grade-4 |
Super Scan |
The method of calculating ‘Extent of Disease’ is subjective assessment of bone metastasis on skeletal scintigraphy. The number of lesions determines the extent of disease as explained in the table above. The arbitrary cut off for the purpose of quantitation and analysis of survival was taken as grade 0&1 and grade 2, 3&4. The patients with grade 0&1 were considered low risk whereas those with grade 2, 3&4 were considered high risk. Soloway et. al used the same method for the bone metastasis quantitation and survival analysis [125, 126]. Extent of Disease- Grading was calculated as:

Figure 3.4 Scan showing multiple metastasis in the region of skull, spine, pelvis and long bones
3.1.10 %PAB (Positive area on bone scan)
Positive area on bone scan is a quantitative method in which the osseous metastasis is considered as the positive area. The same method was applied to the dataset of patients using the formula given below:
![]()
In this method the involved areas on the bone scan of a patient were measured using the computer software and are summed up; used as a numerator as mentioned in the above formula, whereas using the same software the width of the hip bone and the height of the skeleton was measured on the same bone scan; using as a denominator as per mentioned in formula and finally the percentage was calculated. The arbitrary cut off for %PAB method was taken as 0.5.The patients with %PAB above this cut off values were considered high risk as compared to the dataset of patients having % PAB values below this cut off. M. Nogouchi et. al used the same method of %PAB for osseous metastasis quantitation and survival analysis [129]. % PAB Calculation was calculated using following steps using computer software.
Step 1:

Step-2: Calculating the Positive Area on Bone Scan:

Step-3: Calculating the height of the Skeleton along with the width from the gluteal region on the Scan using same XELERIS software in mm units. (The Height is taken from vertex till heel of the skeleton whereas the width is calculated using the bilateral anterior superior ileac spine)

Step-4: Calculating the % PAB of the Scan by Applying the Formula:
![]()
The bone lesion scoring is also a subjective method in which numbers of lesions are assessed clinically at different regions of the skeleton and is then summed up to find out the exact scoring of the scan (Proposed by Prof. Guiliano Mariani, Universtiy di Pisa Italy, verbal Communication).The following regions have been given score as shown in the table below:
Table 3.10: Bone Lesion Scoring
|
Scoring |
Skull Metastasis |
Spine Metastasis |
Pelvis |
Thorax |
Extremities |
|
0 |
No Mets |
No Mets |
No Mets |
No Mets |
No Mets |
|
1 |
< or = 2 |
< or = 2 |
< or = 10% |
< or = 2 |
< or = 2 |
|
2 |
>2 |
3 to 5 |
10-25% |
3 to 5 |
3 to 5 |
|
3 |
- |
>5 |
>25% |
>5 |
>5 |
The cut off for BLS was taken arbitrarily as 5 for the purpose of survival
analysis and prognosis evaluation. The patients with baseline bone scan bone
lesion scoring (BLS) >5 were considered as high risk whereas those with BLS
< 5 were considered low risk.
Calculating Bone Lesion Scoring:

Figure 3.5 Fractional involvement of bone due to metastasis and BSI calculation
Mean values, median, mode, standard deviation and sample variance of all available quantitative parameters were calculated. For determination of relationship between quantitative parameters (%BSI, %PAB, EOD, BLS) and PSA, R^2 correlations (Linear regression analysis) were applied separately on each parameter according to which the value of ‘R^2’ if near to ‘1’ shows that the model is best fitted such that the variables are showing the direct relationship. Regression analysis was used for the testing of the data. Bar charts were generated for the graphical representation of data.
For data set of baseline and follow up scans, the progression or regression was explained using bar charts with pre-set cut off values. Moreover Kaplan Meir survival curves SPSS between variable of interest were generated to see the prognostic significance of each quantitative parameter.
4 RESULTS
Total 141 patients having bone scans within three months of diagnosis were included. The mean age of the data set was 75 years.
Table 4.1 Demographic data of Patients with baseline bone scans
|
Variable at Baseline |
No. of Patients |
% |
Median |
Range |
|
|
Age, Years |
|
141 |
|
75 |
24 |
|
PSA ng/ml |
|
141 |
|
380 |
1236 |
|
Patient Status |
Dead |
21 |
14.89% |
|
|
|
Alive |
120 |
85.11% |
|
|
|
|
Bone Pains |
Positive |
130 |
|
|
|
|
Negative |
11 |
|
|
|
|
|
Treatment |
Surgical |
57 |
|
|
|
|
Non-Surgical |
84 |
|
|
|
|
|
Gleason Score |
|
141 |
|
8 |
5-10 |
Similarly the demographic data of patients with both baseline and follow scans is represented in the table below
Table 4.2 Demographic data of baseline and follow up scans
|
Variable at Baseline |
No. of Patients |
% |
Median |
Range |
|
|
Age, Years |
|
40 |
|
77 |
23 |
|
PSA ng/ml |
|
40 |
|
200 |
1614 |
|
Patient Status |
Dead |
13 |
32.50% |
|
|
|
Alive |
27 |
67.50% |
|
|
|
|
Bone Pains |
Positive |
29 |
|
|
|
|
Negative |
11 |
|
|
|
|
|
Treatment |
Surgical |
Nil |
|
|
|
|
Non-Surgical |
40 |
|
|
|
|
|
Gleason Score |
|
40 |
|
9 |
6-10 |
Four quantitative parameters were applied on the baseline scans of the patients. The characteristics of which has been described below in table 4-3.
Table 4.3 Descriptive statistics
|
|
BSI |
PAB |
EOD |
BLS |
PSA |
|
Mean |
2.9 |
0.8 |
1.3 |
5.1 |
612 |
|
Standard Error |
0.3 |
0.1 |
0.0453806 |
0.2 |
99 |
|
Median |
1.8 |
0.6 |
1 |
5 |
380 |
|
Mode |
0.6 |
1.0 |
1 |
4 |
450 |
|
Standard Deviation |
4.0 |
1.2 |
0.5 |
2.7 |
1180 |
|
Sample Variance |
16 |
1.4 |
0.2 |
7.3 |
1393330 |
|
Kurtosis |
24 |
35.7 |
4.8 |
1.1 |
53 |
|
Skewness |
4.4 |
5.4 |
2.0 |
0.8 |
7 |
|
Range |
28 |
9.4 |
3 |
13 |
11236 |
|
Minimum |
0.1 |
0.04 |
1 |
1 |
0.02 |
|
Maximum |
29 |
9.4 |
4 |
14 |
11236 |
|
Sum |
412.1 |
122.7 |
181 |
731 |
86306 |
|
Count |
141 |
141 |
141 |
141 |
141 |
Descriptive statistics was used to check the variables mean, standard deviation, lowest and extreme values of the data. It statistically explained the population under study.
The patient’s age ranges between 60 years -85 years in our study population with the mean age of 75 years. It can be represented via Bar chart as follows:

Figure 4.1: Age of Patients
4.2 Comparing % BSI Quantitation Method with PSA Levels
By applying correlation statistics (goodness of fit model) we compared the relationship of %BSI and PSA levels.

Figure 4.2: BSI vs PSA
Equation derived from the graph:
Y = α + βXt + µt
Y = 0.0032x + 0.9423
Where Y is the dependent Variable i.e. BSI. PSA is the independent or explanatory variable. X is the slope/beta which shows the rate of the change in the variable. Alpha i.e. constant 0.9423 is the intercept. µt is the error term.
R^2 Goodness and fitness of the Model.
If R^2 value is near to 1 or equal to 1 it shows that model is best fitted. Here R^2 value is 0.891 which shows the goodness of the model. This shows that as the PSA level increases the %BSI quantitation values also increases, showing the linear relationship between the dependent and independent variables. Thus proving the linear relationship between the BSI and PSA levels.
The % BSI values of the data set can be represented via bar diagram as:

Figure 4.3: %BSI Range via Bar Diagram.
4.3 Comparing %PAB Quantitation Method with PSA Levels
Similarly correlation statistics was also applied on the %PAB quantitation method and PSA levels to see the relationship between the two variables.

Figure 4.4: %PAB vs PSA Levels.
Equation derived from the graph:
Y = α + βXt + µt
Y = 0.001x + 0.2677
Here R^2 value is 0.9287 which shows excellent linear correlation between %PAB and PSA levels , concluding the linear increase in quantitative values of the %PAB method with PSA levels.Bar diagram representing the %PAB values of the data set is shown below:

Figure 4.5: %PAB Range via Bar Diagram.
4.4 Comparing EOD Quantitation Method with PSA Levels
The EOD method of quantitation was compared with PSA levels by using correlation statistics to see the response and general trend of the two variables.

Figure 4.6: EOD vs PSA Levels.
Equation derived from the graph:
Y = α + βXt + µt
Y = 0.0004x + 1.0654
R^2 Goodness and fitness of the Model.
Hence it can be concluded PSA level shows variability with extent of disease quantitation method (R^2 0.6105), so it was observed that as the PSA level increases the quantitative method values did not increases linearly.
Data set with their respective EOD values can be represented via Bar diagram as shown below, representing that the maximum bulk of patients were having grade 0, 1and 2 extent of disease with few showing grade 3 and 4.

Figure 4.7: EOD Range via Bar Diagram.
4.5 Comparing BLS Quantitation Method with PSA Levels
Correlation statistics was applied to see the relationship between BLS quantitation method and PSA levels as mentioned in the figure below.

Figure 4.8: BLS vs PSA Levels.
Equation derived from the graph:
Y = α + βXt + µt
Y = 0.0017x + 4.171
R^2 value was calculated as 0.5175. Hence it can be concluded from the R^2 value that the increasing BLS quantitation method shows variability with the rising PSA levels. This means there is not good linear correlation between BLS quantitation method and PSA levels. So BLS quantitation method did not translate the similar picture as other quantitative methods showed with PSA levels.
We have applied this method of quantitation on 141 scans; the data can be represented using Bar chart, showing the BLS Method value in every patient.

Figure 4.9: BLS Range via Bar Diagram.
As we applied quantitation methods on the baseline scans of 141 patients and later correlated them with the PSA Levels. So PSA levels of the whole population under consideration can be represented as follows using bar chart as:

Figure 4.10: Representing PSA Levels on Data
.
By applying the OLS regression analysis we get the following statistics of our data.
Table 4.4 Regression Analysis
|
Dependent Variable: PSA |
||||||||||||||||||||||||||||||||||||||||||||||||||||||||||||||||||
|
Method: Least Squares |
||||||||||||||||||||||||||||||||||||||||||||||||||||||||||||||||||
|
Sample: 141 |
||||||||||||||||||||||||||||||||||||||||||||||||||||||||||||||||||
|
Included observations: 141
R square is the goodness and fitness of the model. It was calculated as: Estimated Sum of squares/ Total sum of squares. Its range lies between 0 ≤ r square ≤ 1. Here R square is 0.068101 of all available quantitative parameters collectively. This shows that our methods are overall significant in calculating the tumor burden with reference to the PSA levels. Prob (F-statistic): The overall model was significant at 5% confidence level because it was calculated as 0.046522 which was less than 0.05 i.e. which shows that the variable EOD, BLS %BSI and %PAB describes variations in the PSA. As PSA is increasing the variables BSI, EOD, BLS, PAB are increasing showing the increasing trend i-e when the quantitation methods values were increased the corresponding PSA levels also showed increasing trend favoring the increase in the tumor burden. T statistics shows the significance of individual independent variables. The range of the T-statistics is between -1.96 to +1.96. Keeping in view the OLS regression analysis as calculated above t is can be observed that %PAB, %BSI and BLS shows the values within the specific range, so in case of %PAB it is – 1.262411, for %BSI it’s found to be -1.14243 and for BLS it’s found to be 1.435927, which is within the range of -1.96 to +1.96, showing the significance of the methods with respect to the PSA levels. Proving the fact that as the PSA level is high the tumor burden quantitation is also increased with relevance to the PSA levels But the t-test of EOD (Extent of Disease) shows the value of 1.992801 which is out of the required range, showing that this quantitation did not corresponds with the PSA levels. |
||||||||||||||||||||||||||||||||||||||||||||||||||||||||||||||||||
4.7 Analysis of Baseline and Follow up Scan in Dead v/s Alive Patients using four Quantitative Parameters
The baseline and follow up scans were analyzed by using quantitative parameters as follows:
4.7.1 Extent of Disease in Baseline and Follow up Scan and Effect on Survival
The EOD was applied to the baseline and follow up scans of the 40 patients. It was observed that the patients with the increase in tumour burden in follow up scans died whereas the patients with tumour burden in follow up scans showed better survival. It can be represented as shown in the table below.
Table 4.5 Effect of EOD calculations in Baseline and Follow up scans
|
Status at the end of Follow up |
A > B (A:Baseline Scan, B:Followup scan) |
B > A (A: Baseline Scan, B: Follow up scan) |
Grand Total |
|
Alive |
27 |
0 |
27 |
|
Dead |
5 |
8 |
13 |
|
Grand Total |
32 |
8 |
40 |
The ‘A’ represents the tumour burden (EOD) on baseline bone scan whereas the ‘B’represents the tumour burden (EOD) on follow up bone scans. By comparing the baseline and follow up scan with the extent of disease it has been observed that as the tumour burden increases in follow up scans there is less chances of the survival of a patient. By this method we conclude from above table that out of 13 dead patients this method significantly tells the rate of decrease survival i.e. 61.53 %
By using the cut off of grade 0&1 and grade 2, 3 & 4.It was further observed that the patients with the increase in tumour burden specifically with EOD-Grade2, 3 & 4 in follow up scans died as compared to the patients with tumour burden with EOD-Grade 0&1 in follow up scans. It can be represented via bar diagram as:

Figure 4.11: EOD- Dead vs Alive.
As shown in the above diagram the patients with the increased tumour burden EOD-grade 2, 3&4 after treatment in the follow up scans (red bars) died where as the patients with less tumour burden EOD-0 &1 after treatment in the follow up scans (Red bars) showed good survival.
4.7.2 Bone Lesion Scoring in Baseline and Follow up Scan and its Effect on Survival
The quantitative parameter of BLS was applied to the data set of 40 patients. The patients with the increase tumour burden on follow up scans after treatment showed bad response to the treatment and ultimately death. Whereas it has been observed that the patients with the decrease tumour burden on follow up scans showed good survival and better treatment response.
Table 4.6 Effect of bone lesion scoring in baseline and follow up scans
|
Status at the end of Follow up |
A > B (A:Baseline Scan, B:Followup scan) |
B > A (A: Baseline Scan, B: Follow up scan) |
Grand Total |
|
Alive |
26 |
1 |
27 |
|
Dead |
1 |
12 |
13 |
|
Grand Total |
27 |
13 |
40 |
The ‘A’ represents the tumour burden BLS on baseline bone scan whereas the ‘B’represents the tumour burden on follow up bone scan. By comparing the tumour burden via BLS quantitative parameter on baseline and follow up scans it has been observed that as the tumour burden increases in follow up scans there was less chances of the survival of a patient and thus showing treatment response failure i-e 92.3 %. Furthermore by using the cut off of 5 in BLS method it has been observed that the patients with the BLS values >5 on follow up scans after treatment showed bad response to the treatment and ultimately death. Whereas the patients with the BLS values <5 showed good survival and better treatment response. It can be represented via bar diagram as:

Figure 4.12: BLS- Dead vs. Alive
From the bar diagram it was concluded that in data of alive patients (shown on the left extreme side) the tumour burden as calculated via BLS method, was more in the baseline scan (represented as blue bars) which later after treatment, decreases (BLS <5) in the follow up scan (represented as red bars) suggesting increase in survival of these patients. Whereas the extreme right of the bar diagram shows dead patients data suggesting that the baseline scan calculated tumour burden (represented as blue bars) did not improve after treatment showing increase in tumour burden BLS >5 (represented as red bars) thus showing the treatment failure and ultimately death.
4.7.3 % BSI in Baseline and Follow up Scan and its Effect on Survival
The % BSI quantitative method was applied on the baseline and follow up scans of the patients. It has been observed that the patients with the grater tumour burden on follow up scans showed bad survival in comparison with the ones showing less tumour burden. It is represented in the table given below.
Table 4.7 Effect of % BSI calculation in Baseline and follow up scans
|
Status at the end of Follow up |
A > B (A:Baseline Scan, B:Followup scan) |
B > A (A: Baseline Scan, B: Follow up scan) |
Grand Total |
|
Alive |
24 |
3 |
27 |
|
Dead |
0 |
13 |
13 |
|
Grand Total |
24 |
16 |
40 |
The ‘A’ represents the tumour burden on baseline bone scan whereas the ‘B’represents the tumour burden on follow up bone scan. By comparing the baseline and follow up scan with the bone scan index (%BSI method) it has been observed that as the tumour burden increases in follow up scans after treatment there was less chances of the survival of a patient. By this method we conclude from above table that out of 13 dead patients this method accurately tells that there is almost no chance of patient survival 100 % dead.
It was furthermore observed that by taking the cut off of 1, the patient’s follow up scan showing the tumour burden of %BSI >1 showed poor survival as compared to the patient’s follow up scans with cut off values <1 as shown in the bar diagram below.

Figure 4.13: %BSI-Dead vs Alive.
It has been observed from the bar diagram that in data of alive patients (shown on the left extreme side) the tumour burden as calculated via %BSI method, was more in the baseline scan (represented as blue bars) which later after treatment, decreases in the follow up scan (represented as red bars) suggesting good response to the treatment and thus increase survival of these patients. Whereas the extreme right of the bar diagram shows dead patients data suggesting that the baseline scan calculated tumour burden (represented as blue bars) did not improve after treatment showing increase in tumour burden with %BSI >1 (represented as red bars) thus showing the treatment failure and less survival.
4.7.4 %PAB in Baseline and Follow up Scan and its Effect on Survival
Similarly the %PAB quantitative parameter was applied on the baseline and follow up scans of 40 patients. It was observed that increase in the tumour burden % PAB on the follow up scans after treatment is a bad prognostic factor.
Table 4.8 Effect of % PAB calculation in Baseline and follow up scans
|
Status at the end of Follow up |
A > B (A:Baseline Scan, B:Followup scan) |
B > A (A: Baseline Scan, B: Follow up scan) |
Grand Total |
|
Alive |
25 |
2 |
27 |
|
Dead |
1 |
12 |
13 |
|
Grand Total |
26 |
14 |
40 |
The ‘A’ represents the tumour burden on baseline bone scan whereas the ‘B’represents the tumour burden on the follow up bone scan. By comparing the tumour burden on baseline and follow up scan with the %PAB( Positive area on bone scan) it has been observed that as the tumour burden increases in follow up scans there is less chances of the survival of a patient. By this method we conclude from above table that out of 13 dead patients this method significantly tells the rate of decrease survival i-e 92.3 %.
Furthermore by taking the cut off of 0.5, it was observed that the patients with tumour burden > 0.5 in follow up bone scans showed treatment failure and disease progression as compared to the patients with the less tumour burden %PAB value of <0.5. It can be represented via bar diagram as:

Figure 4.14: % PAB-Dead vs Alive.
It has been observed from the bar diagram that in data of alive patients (shown on the left extreme side) the tumour burden as calculated via %PAB method, was more in the baseline scan (represented as blue bars) which later after treatment, decreases in the follow up scan (represented as red bars) suggesting increase in survival of these patients. Whereas the extreme right of the bar diagram shows dead patients data suggesting that the baseline scan calculated tumour burden (represented as blue bars) did not improve after treatment showing increase in tumour burden >%PAB >0.5 (represented as red bars) thus showing the treatment failure and less survival.
4.7.5 PSA Levels Correlation with Tumor Burden in Baseline and follow-up Scan and its Effect on Survival
Table 4.9 PSA correlation with tumour burden on serial scans
|
Status at the end of Follow up |
A > B (A:Baseline Scan, B:Followup scan) |
B > A (A: Baseline Scan, B: Follow up scan) |
Grand Total |
|
Alive |
26 |
1 |
27 |
|
Dead |
0 |
13 |
13 |
|
Grand Total |
26 |
14 |
40 |
The ‘A’ represents PSA values of the baseline bone scan whereas the ‘B’represents the PSA values of the follow up bone scan. By comparing the PSA levels of baseline and follow up scans it has been observed that as the tumour burden increases in follow up scans the PSA levels also increases showing less chances of the survival of a patient. So we conclude from above table that out of 13 dead patients, the increase in PSA levels in the follow up scans accurately tells that there is almost no chance of patient survival 100 % dead.
4.7.6 Correlation of PSA Levels in Both Baseline and Follow up Scans of Alive and Dead Patients with all Four Quantitative Parameters

Figure 4.15: PSA Level vs Quantitative Parameters (In Dead Patients)
From the above line diagram the general trend of all the quantitative parameters with respect to PSA levels are very obvious in dead patients. It is observed that the baseline bone scans have low values as compared to the follow up scans (extreme right sided) which are calculated after treatment. Moreover the PSA levels taken during the follow up bone scan also shows marked increase relative to the PSA levels taken before baseline bone scans, signifying that increase in PSA levels in follow up scan and a similar trend of increase values of all the four quantitative parameters results in increase risk and decrease survival of the patient.
Similarly following observation was made in the baseline and follow up scans of patients who were alive:

Figure 4.16: PSA Level vs Quantitative Parameters (In alive patients).
From the above line diagram the general trend of all the quantitative parameters with respect to PSA levels are very obvious in alive patients, which is opposite to that of the patients who were dead. It was observed that the baseline bone scans have high values as compared to the follow up scans (extreme right sided). Moreover the PSA levels taken during the follow up bone scan also shows marked decrease relative to the PSA levels taken before baseline bone scans, signifying that decrease in PSA levels in follow up scan and a similar trend of decrease values of all the four quantitative parameters results in good and disease free survival of the patient.
4.8 Quantitative Parameters and Survival Curves
The survival curves were generated by using the respective cut off values to the data set of 40 patients for a period of two years.
(Time in Weeks)
Ho: There is no difference regarding survival among two levels.
H1: There is difference regarding survival among two levels.
The Chi-squared statistic of log rank test is 6.232 with associated P-value (0.013) of less than 0.05 rejects null hypothesis. The conclusion therefore is that, statistically, the two survival curves differ significantly, or that the grouping variable has a significant influence on survival time. Rejection of null hypothesis shows that two levels <1 and > 1 are not identical regarding survival. The conclusion is that the curve representing the patients with the decrease tumour burden (<1) has low risk and good survival then with the curve representing the patients (>1) with more tumour burden.
(Time in Weeks)
Ho: There is no difference regarding survival among two levels.
H1: There is difference regarding survival among two levels.
The Chi-squared statistic of log rank test is 28.257 with associated P-value 0.000 less than 0.05 rejects null hypothesis. The conclusion therefore is that, statistically, the two survival curves differ significantly, or that the grouping variable has a significant influence on survival time. Rejection of null hypothesis shows that two levels <0.5 and > 0.5 are not identical regarding survival. The conclusion is that the curve representing the patients with the decrease tumour burden (<0.5) has low risk and better survival then the patients with %PAB values >0.5.
(Time in Weeks)
Ho: There is no difference regarding survival among two levels.
H1: There is difference regarding survival among two levels.
The Chi-squared statistic of log rank test is 79.615 with associated P-value 0.000 less than 0.05 rejects null hypothesis. The conclusion therefore is that, statistically, the two survival curves differ significantly, or that the grouping variable has a significant influence on survival time. Rejection of null hypothesis shows that two levels 0=grade 0&1 and 1= grade 2&3 are not identical regarding survival. The conclusion is that the curve representing the patients with the decrease tumour burden (grade 0&1) has decrease risk then with the curve representing the patients (grade 2&3) with more tumour burden.
(Time in Weeks)
Ho: There is no difference regarding survival among two levels.
H1: There is difference regarding survival among two levels.
The Chi-squared statistic of log rank test is 26.88 with associated P-value 0.000 less than 0.05 rejects null hypothesis. The conclusion therefore is that, statistically, the two survival curves differ significantly, or that the grouping variable has a significant influence on survival time. Rejection of null hypothesis shows that two levels <5 and >5 are not identical regarding survival. The conclusion is that the curve representing the patients with the decrease tumour burden (<5) has good survival and decrease risk then with the curve representing the patients (>5) with more tumour burden.
5 DISCUSSION
The bone metastasis is one of the commonest complications of few tumours. The tumours that most commonly metastasize to bone are the tumours from the prostate in men and breast in women. Among the complication of bone metastasis, bone pain, is the worst consequence, affecting 66% of the patients who have the bone metastasis [[135]].
The patients with prostate cancer usually don’t have any clinically measurable or evaluable method for the quantification of their tumour burden by conventional criterion. Cutanoeus or subcutaneous nodule or palpable lymphadenopathies are uncommon. Pulmonary or Visceral metastases are also infrequent. Moreover 80% of the patients have skeletal metastases which are the only clinically obvious areas of tumour. These lesions are usually osteoblastic or represent a mixed pattern on plain radiograph but are best defined on the Bone scans. Metastasis to the bone is the most serious complication of solid malignant neoplasm, and by far the most common malignant tumour involving the skeleton [[136]].
The present knowledge of quantifying the metastatic bone disease is still not sufficient. A lot of work has been done to quantify the bone metastasis using bone scans. Radionuclide bone scans are strongly positive in cases of bone involvement of prostate cancer patients irrespective of whether the lesions are lytic, mixed or pure blastic. The conventional method of calculating the bone metastasis is by combining qualitative assessment of all the sequential bone scans and bony films with tumour markers (Such as PSA and Alkaline Phosphatase levels). Although serum acid phosphatase may present the progression and regression of disease, approximately 25% -30% of patients with metastatic disease have a normal acid phosphatase. Thus it cannot be used to tell about the tumour status [[137]].
Interpretation of bone scan is a subjective process, dependent on the experience and knowledge of the nuclear medicine physician is a question. Reports of bone scans often express uncertainty e-g ‘may be degenerative’ or ‘possible metastasis, and the tumour burden can be expressed as ‘extensive metastatic disease’. Reporting like this has a disadvantage as it can be perceived differently by the nuclear physicians and the
referring physicians. Such type of communication usually leads to inappropriate and incorrect treatment in patients with severe disease and an effective medication may be stopped as a result of a misconception [[138]]. Therefore, a method is needed to define prognostic strata and to assess response to treatment in the majority of patients, that is, those with predominantly bone metastasis [[139]].
To quantitate all bone metastasis in patients is a time consuming task, since the patients with metastatic involvement usually have more than one disease site. Several studies have evaluated different ways to quantify the extent of bone involvement during therapy. Interpretation of the bone scans is a tedious procedure for the physicians and often leads to misinterpretation either as overestimation or underestimation of the metastasis. To minimize the risk of misinterpretation, one of the careful methods is quantitative analysis of the bone scans in order to ascertain, whether a metastatic lesion is present or not. There are several methods to-date which can be used to analyse the extent of such lesions. For example, quantitation of the bone scan i-e % BSI (Bone scan index) [[140]], % PAB (Positive area on bone scans) [[141]], EOD (extent of disease) [[142]] and BLS (Bone lesion scoring) [[143]]. Among these, %BSI has most frequently been used and validated in various studies [140-141]. Novel automated software based on %BSI quantitative calculations has been developed and is in clinical use in many nuclear medicine departments. However, automated %BSI calculator (EXINI bone TM & BONENAVITM) have not been extensively employed in routine nuclear medicine practice because of its high cost. Another potential risk of inaccuracy in using these automated quantitation softwares is their limited training databases as these softwares use either Swedish or Japanese patients data [[144] -[145]]. Despite all these shortcomings there is body of evidence that these quantitative bone scan parameters not only increase interpretation accuracy but can also serve as image biomarkers. Most of the published literature focuses on determining accuracy of either one or two parameters at a time. But to date there is not study comparing all these parameters. Based on this premise this study was designed to evaluate the accuracy of different bone scan qualitative methods namely %BSI, %PAB, EOD and BLS. Study also explored each quantitative parameter as a prognostic indicator in prostate cancer patients.
In our study we applied four quantitative parameters on baseline bone scans to assess the tumour burden of 141 histopathologically proved carcinoma prostate patients. Results of all fours quantitation methods were individually compared with PSA levels (ng/ml), to evaluate the efficacy of all these parameters as effective disease status indicator. For evaluation as a prognostic indicator, 40 patients having a serial follow up scans were chosen. The follow up datasets were again analysed using the same four bone scan quantitative parameters. For purpose of quantification arbitrary cut off were applied for each parameter. Cut offs were % BSI: <1 low risk and >1 high risk , % PAB: <0.5 was low risk while >0.5 means high risk patients, EOD: grade 0&1 were considered low risk , grade2, 3&4 were considered as high risk, and in BLS: score of <5 was considered low risk and >5 was vice versa.
Age range of our study population was between 60 years -85 years in our study population with the mean age of 75 years. Most of the published data showed similar age range of age as seen in our patient cohort [140-141].
5.1 Bone Quantitative Parameters as Indicators of Disease Burden
PSA level is mostly wide used tumour marker for disease status. Progression or regression of disease post treatment is evaluated on serial PSA measurements. Post treatment elevation of PSA invariably predicts tumor progression and can precede clinical evidence of the event by about 6 months. Parameters like pre and post treatment PSA, PSA doubling time, PSA nadir values, percentage of PSA decline are exhaustively investigated as disease status indicators, disease progression predictor or survival marker [[146] -[147]]. Taking PSA as true indictor of disease, we investigated the relation between the PSA levels and the tumour burden in the baseline bone scan and later investigated the role of these quantitative parameters in both baseline and follow up scans. When we compared the correlation of PSA with the bone scan quantitative parameters, our study results showed that all four quantitative parameters assess the tumour burden to varying degree of accuracy but all these parameters have almost linear correlation with PSA levels. Best linear correlation was seen in % PAB method where R^2 was 0.92 closely followed by % BSI method where R^2 was 0.89. %PAB method was initially evaluated by Noguchi et al [[148]] and in their study they applied univariate and multivariate regression analysis and their results showed that only %PAB came out be the most significant disease predictor for survival among all the variables they studied. In the study Noguchi et al concluded that %PAB is a simple and reproducible method for estimating skeletal involvement in prostate cancer patients. Although in our study we applied ordinary least square regression analysis using PSA as dependent variable and it showed that our %PAB data has t-statistics value is within the prescribed range of -1.96 to +1.96. Our own conclusion was that %PAB method is easier to calculate as compared to %BSI which needs rigorous calculations. The main advantage of the %PAB method is its simplicity, accuracy in the measurements of region of interest and reproducibly which carefully estimates the percentage of the skeleton involving tumours in prostate cancer. As every single lesion is considered and calculated by drawing region of interest.
When comparing our PSA findings with %BSI results it was seen that there is significant linear correlation present between these two variables with R^2 of 0.89. Similarly OLS regression analysis showed t-statistics finding of %BSI within the range. There is a large body of evidence about the BSI accuracy, reproducibility & validity as a bone disease predictor, prognostic & survival indicator and treatment response evaluator [[149],[150],[151]]. BSI is most frequently used bone quantitative parameters it was first introduced by Imbriaco et al [[152]]. Initially the calculation were done manually but now based of BSI calculation formulas, automated BSI software are available commercially. One reason for evaluating BSI along with other less commonly used quantitative parameters was that this automated software although commercially available but expensive in terms of developing country setting. Moreover these softwares used Swedish and Japanese datasets for training and comparison which may lead to erroneous results in our setting.
Our comparison of PSA with EOD and BLS showed linear correlation but of moderate degree with R^2 values of 0.61 and 0.51 respectively. EOD was compared with %PAB by Noguchi et al [[153]] and it was concluded that %PAB is significantly better bone disease predictor as compared to other quantitative parameters. EOD was one of these quantitative parameter. EOD and BLS are relatively simpler quantitation methods without using mathematical formulas. These parameters use only number of lesion and their sites; however our results consistently showed that they are less accurate when compared with the %PAB and % BSI. This was confirmed in the OLS regression analysis results where t-statistics value of EOD parameters lie outside the prescribed range showing that these results are not in full concordance with PSA values. The reason for relatively worse performance of BLS and EOD may be that there may be difficulty in visually counting individual lesions when lesions increase in number. Error may also be due to sites of lesions as lesions in the ribs are difficult to count and quantify, and assessment of lesions in the pelvis is complicated by the three-dimensional nature of the pelvic bone.
5.2 Bone Quantitative Parameters as Prognostic Indicators and Treatment Response Evaluator
In subset of our patient population we did serial scanning to evaluate the efficacy of the four bone quantitative parameters as prognostic and survival indicators and a guide for treatment response evaluation. Utility of bone scan quantitative parameters as bio-imaging markers is most extensively explored. However, only BSI has been utilized for this purpose. Especially after the availability of the commercial BSI software there is growing research and clinical use of this Bone scan quantitation parameter in prognostic and survival analysis. Its utility is not only focused in prostate cancer patients but also there have been research studies utilizing it in all epithelial cell tumours leading to bone metastasis. In our study population of 40 patients we did serial scanning and predicted survival based on these parameters.
In our study, 40 patients underwent serial scanning and quantitation on both the baseline and follow up bone scans was done and its correlation with the PSA levels was calculated.PSA levels were taken before baseline and after follow up bone scans. It was concluded that the quantitative parameters were good in explaining tumour burden as regression or progression of disease, with decrease survival in patients having increased tumour burden in follow up scans. The patients who had tumour burden (More numerical values) of the baseline bone scan quantitative parameter then the follow up bone scan showed decrease risk of disease progression and good survival. It was further observed that the after some specific cut off value of the respective quantitative parameter there is increasing risk of disease progression. (% BSI: 1, % PAB: 0.5, EOD: grade 0&1, grade2, 3&4 and BLS: 5).
In EOD parameters grading was done in a way that grade 0 & 1 were taken as low risk patients and grade 2 and above were taken as high risk patients. In table 4-5 it is shown that those patient whose EOD decreased as compared to the baseline scan showed better survival as compared to those who had increased in grade of EOD on subsequent scan (38.4 % vs 61.5 %). In Figure 4-11 it is noticeable that in alive patients group all the patients were either showing static disease (same grade) or had decline in grade (N=13). While in dead patients group 7 patients showed increase in the grade and 5 patients showed static grades. Out of these 5 patients 3 were already in high risk group but 2 patients were in low risk group ie group 1. This data shows that EOD can predict outcome and in patients having initial high risk grade or positive change in grade (from lower to higher) carries poor prognosis. The Chi-squared statistic of log rank test is 79.615 with associated P-value 0.000 less than 0.05 rejects null hypothesis. The conclusion therefore is that, statistically, the two survival curves differ significantly, or that the grouping variable has a significant influence on survival time. Kaplan–Meier plot shows disease-specific survival after treatment of metastatic prostate cancer for those with grade 0 & 1 EOD and greater than grade 2(P 0.00).
In %PAB cut off was taken at 0.5. Below that patient were considered low risk and above that it was high risk. . In table 4-8 it is shown that those patient whose %PAB values were decreased in follow up scans as compared to the baseline scan showed better survival as compared to those who had increased in %PAB on subsequent scan (7.6 % vs 92.3 %). In Figure 4-14 it is noticeable that in alive patients group most of the patients were showing decline in %PAB (N=21). While in dead patients group 11 patients showed increase in the %PAB and 1 patients showed static %PAB. Out of these 11 patients 4 were already in high risk group but 7 patients were in low risk group i.e. %PAB <0.5. However if we make our cut off point more lower than many of the dead patient will shift into the high risk group. PAB was initially used by Noguchi et al and they used cut off point at 0.46 [141]. This data shows that PAB can predict outcome and in patients having initial high risk grade or positive change in grade (from lower to higher) carries poor prognosis. The Chi-squared statistic of log rank test is 28.257 with associated P-value 0.000 less than 0.05 rejects null hypothesis. The conclusion therefore is that, statistically, the two survival curves differ significantly, or that the grouping variable has a significant influence on survival time. The conclusion is that the curve representing the patients with the decrease tumour burden (<0.5) has low risk and better survival then the patients with %PAB values >0.5. Similar findings were noted by Noguchi as well in 56 patients which they analyzed. Kaplan–Meier plot shows disease-specific survival after treatment of metastatic prostate cancer for those with %PAB <0.5 and greater than 0.5 (P 0.00).
For %BSI 1 was taken as cut off. Below that patient were considered low risk and above that it was high risk. In table 4-7 it is shown that those patient whose %BSI decreased as compared to the baseline scan showed better survival as compared to those who had increased in % BSI on subsequent scan (0 % vs 100 %). In Figure 4-13 it is noticeable that in alive patients group most of the patients were showing decline in %BSI (N=19). While in dead patients group all 13 patients showed increase in the %BSI . Out of these 13 patients 12 were already in high risk group but 1 patients were in low risk group i.e. %BSI <1. When we compare results our findings with already published data [[154],[155],[156], [157],[158]]. Dennis et al in 88 patients showed that a doubling in BSI resulted in a 1.9-fold increase in risk of death. Log percent change in PSA at 6 months on treatment was also associated with survival in this study [[159]].This data shows that % BSI can predict outcome and in patients having initial high risk grade or positive change in grade (from lower to higher) carries poor prognosis. The Chi-squared statistic of log rank test is 6.232 with associated P-value (0.013) of less than 0.05 rejects null hypothesis. The conclusion therefore is that, statistically, the two survival curves differ significantly, or that the grouping variable has a significant influence on survival time. Rejection of null hypothesis shows that two levels <1 and >1 are not identical regarding survival. The conclusion is that the curve representing the patients with the decrease tumour burden (<1) has low risk and good survival then with the curve representing the patients (>1) with more tumour burden.
For BLS 5 was taken as cut off. Below that patient were considered low risk and above that it was high risk. In table 4-6 it is shown that those patient whose BLS decreased as compared to the baseline scan showed better survival as compared to those who had increased in BLS on subsequent scan (7.6 % vs 92.3 %). In Figure 4-12 it is noticeable that in alive patients group most of the patients were showing decline in BLS (N=22). While in dead patients group all 12 out of 13 patients showed increase in the BLS. Out of these 13 patients 4 were already in high risk group but 7 patients were in low risk group i.e. BLS <5. The Chi-squared statistic of log rank test is 26.88 with associated P-value 0.000 less than 0.05 rejects null hypothesis. The conclusion therefore is that, statistically, the two survival curves differ significantly, or that the grouping variable has a significant influence on survival time. Rejection of null hypothesis shows that two levels <5 and >5 are not identical regarding survival. The conclusion is that the curve representing the patients with the decrease tumour burden (<5) has good survival and decrease risk then with the curve representing the patients (>5) with more tumour burden.
An overall trend seen in all serial scanning patients was that, there was decline in quantitative parameter numerical values or it remained stable in comparison with the patient which died where quantitative parameter numerical values were mostly increased. Although all parameters were able to predict survival and prognosis on change of parameter quantification results however, parameters which were based on number of lesions and not on involvement of skeletal percentage were not able to predict survival as accurately as others did. For example in EOD and in BLS the change of grade from 1 category to another was not that overt and many a time’s patients were in the same group in which they were at baseline. Similarly when we see correlation with PSA, %BSI and %PAB performed better than the EOD and BLS. In regression analysis comparison with overall results R^2 were showing correlation but in t-statistics EOD was not correlating well with PSA. In survival analysis all parameters performed well and at give cut off point it was seen that low and high risk patient have marked difference in survival at 2 years.
So all quantitative parameters are strong predictors of tumour burden and are equally good in risk stratification too. The changes seen on serial bone scans reflected metastatic activity in the skeleton. Deterioration on the bone scan indicated disease progression or poor prognosis. Improvement on scan reflects regression of metastatic disease and usually implied a favourable survival. Consistent stabilization on the scan correlated with clinical stable disease and was associated with better survival than for the progressing patients.
The limitation of our project is that we have included all the baseline bone scans of Carcinoma Prostate Patients irrespective of the treatment (Hormonal- Non Hormonal).
Due to less time tenure of the project it was not possible to collect both the Baseline and the follow up scans of all the patients, though we have included 40 patients with both baseline and follow up scan (on hormonal treatment only) data. But in such small group of patients we cannot comment on the prognostic value and survival of the patients accurately.
The results are analysed irrespective of the ‘Flare Phenomenon’ and that’s why a lot of variation is observed.
The scans have been analysed subjectively via visual inspection without any aid of automated software in most quantitation methods except one. So there are chances of human error too.
The prostate cancer patients with the cut off % BSI >1, %PAB > 0.5, BLS >5 and EOD with grade 2, 3 & 4 showed disease progression and less survival.
[1]. Algra PR BJ, Tissing H, Falke TH, Arndt JW, Verboom LJ Detection of vertebral metastases: comparison between MR imaging and bone scintigraphy. Radiographics 1991; 11:219-32.
[2]. AM P. Osteonal and hemiosteonal remodeling: The spatial and temporal framework for signal traffic in adult bone. J Cell Biochem 1994; 55:273-6.
[3]. AM P. Targeted and nontargeted bone remodeling: Relationship to basic multicellular unit origination and progression. Bone 2002; 30:5-7
[4]. Blair HC AN. Recent advances in osteoclast biology and pathological bone resorption. Histol Histopathol 2004; 19:189 –99.
[5]. Boyden LM MJ, Belsky J, Mitzner L, Farhi A, Mitnick MA, Wu D, Insogna K, Lifton RP High bone density due to a mutation in LDL receptor-related protein 5. N Engl J Med 2002; 346:1513 –21.
[6]. Apolo A P-TN, Morriss MJ. Novel tracers and their development for the imaging of metastatic prostate cancer. J Nucl Med 2008; 49:2031–41.
[8]. Brodsky B PA. Molecular structure of the collagen triple helix. Adv Protein Chem 2005; 70:301 –39.
[9]. Bonewald L MG. Role of transforming growth factor beta in bone remodeling. Clin Orthop Rel Res 2S 1990; 33:35 –40.
[10]. Bryden AA, Hoyland, J. A., Freemont, A. J., Clarke, N. W. & George, N. J. Parathyroid hormone related peptide and receptor expression in paired primary prostate cancer and bone metastases. Br J Cancer; 86 :322–5.
[11]. Bryden AA, Hoyland, J. A., Freemont, A. J., Clarke, N. W. & George, N. J. Parathyroid hormone related peptide and receptor expression in paired primary Prostate cancer and bone metastases. Br J Cancer; 86:322–5.
[12]. Burger EH K-NJ, Smit TH. Strain-derived canalicular fluid flow regulates osteoclast activity in a remodeling osteon. A proposal J Biomech. 2003; 36:1452 –9.
[14]. Delaisse JM AT, Engsig MT, Henriksen K, Troen T, Blavier L. Matrix metalloproteinases (MMP) and cathepsin K contribute differently to osteoclast activities. Microsc Res Tech 2003; 61:504-13.
[15]. Doherty MJ AB, Walsh S, Beresford JN, Grant ME, Canfield AE Vascular pericytes express osteogenic potential in vitro and in vivo. J Bone Miner Res. 1998; 13:828 –38.
[16]. Gallwitz WEea. Low doses of 6-thioguanine and 6–mercaptoguanosine inhibit osteolytic bone disease caused by metastatic bone cancer. J Bone Min Res 2000; 15:446-450.
[19]. Charhon SAea. Histomorphometric analysis of sclerotic bone metastases from prostatic carcinoma special reference to osteomalacia. Cancer 1983; 51:918–24.
[20]. Guise Taea. Evidence for a causal role of parathyroid hormone-related protein in the pathogenesis of human Prostate and Breast cancer-mediated osteolysis. J Clin Invest. 1996; 98:1544–9.
[22]. Locklin RM OR, Triffitt. Effects of TGFbeta and bFGF on the differentiation of human bone marrow stromal fibroblasts. JT Cell Biol Int 1999; 23:185 –94.
[23]. MP W. Hypophosphatasia and the role of alkaline phosphatase in skeletal mineralization. Endocr Rev 1994; 15:439 –61.
[24]. Plotkin LI MS, Bellido T. Transduction of cell survival signals by connexin-43 hemichannels. J Biol Chem. 2002; 277:8648 –57.
[25]. RS T. Blood and bone: Two tissues whose fates are intertwined to create the hematopoietic stem cell niche. Blood 2005 [Pub Med]; 105:2631 –9.
[26]. Rubin CT LL. Osteoregulatory nature of mechanical stimuli: Function as a determinant for adaptive bone remodeling. J Orthop Res. 1987; 5:300 –10.
[27]. Shin CS LF, Sheikh S, Weitzmann L, Cheng SL, Civitelli R Relative abundance of different cadherins defines differentiation of mesenchymal precursors into osteogenic, myogenic, or adipogenic pathways. J Cell Biochem 2000; 78:566 –77.
[28]. Smit TH BE, Huyghe JM Is BMU-coupling a strain-regulated phenomenon? A finite element analysis. J Bone Miner Res. 2002; 15:301-7.
[29]. Ubara Y TT, Nakanishi S, Sawa N, Hoshino J, Suwabe T, Kaitori H, Takemoto F, Hara S, Takaichi K. . Significance of minimodeling in dialysis patients with adynamic bone disease. Kidney Int 2005; 68:833 –9.
[30]. Xing L BB. Regulation of apoptosis in osteoclasts and osteoblastic cells. Biochem Biophys Res Commun. 2005; 328:709 –20.
[31]. Silver IA MR, Etherington DJ Microelectrode studies on the acid microenvironment beneath adherent macrophages and osteoclasts. Exp Cell Res 1988; 175:266 –76.
[32]. Ubara Y FT, Tagami T, Sawa N, Hoshino J, Yokota M, Kaitori H, Takemoto F, Hara S. Histomorphometric features of bone in patients with primary and secondary hyperparathyroidism. Kidney Int 2003; 63:1809 –16.
[33]. Ubara Y TT, Nakanishi S, Sawa N, Hoshino J, Suwabe T, Kaitori H, Takemoto F, Hara S, Takaichi K. . Significance of minimodeling in dialysis patients with adynamic bone disease. Kidney Int 2005; 68:833 –9.
[34]. Weiner S SI, Addadi L. Structural biology: Choosing the crystallization path less traveled. Science 1997; 309:1027–8.
[35]. WJ L. The strength of a calcified tissue depends in part on the molecular structure and organization of its constituent mineral crystals in their organic matrix. Bone 1995; 16:533 –44.
[36]. Zetter BR. The cellular basis of site-specific tumor metastasis. N Engl J Med. 1990; 322:605–12
[37]. Pocock NA EJ, Hopper JL, Yeates MG, Sambrook PH, Eberl S: A twin study. Genetic determinants of bone mass in adults. J Clin Invest. 1987; 80:706 –10.
[38]. Ruckle HC KG, Oesterling JE Prostate-specific antigen: concepts for staging prostate cancer and monitoring response to therapy. Mayo Clin Proc 1994; 69(1):69–79.
[39]. Ross FP TS. αvβ3 and macrophage colony-stimulating factor: Partners in osteoclast biology. Immunol Rev 2005; 208:88-105.
[40]. Sabbatini P LS, Kremer A Prognostic significance of extent of disease in bone in patients with androgen-independent prostate cancer. J Clin Oncol 1999; 17:948– 57.
[41]. SV R. Regulatory mechanisms operative in osteoclasts. Crit Rev Eukaryot Gene Expr 2004; 14:255 –70.
[42]. Teitelbaum SL RF. Genetic regulation of osteoclast development and function. Nat Rev Genet 2003; 4:638 –49.
[43]. Pollen JJ WK, Ashburn WL .The flare phenomenon on radionuclide bone scan in metastatic prostate cancer. Am J Roentgenol. 1984; 142:773–6.
[44]. Powell GJea. Localization of parathyroid hormone related protein in Bone seeking cancer metastases: increased incidence in bone compared with other sites. Cancer Res. 1991; 51:3059–61.
[46]. Schneider A KL, Mattos AC, Keller ET, Allen MJ, Pienta KJ, McCauley LK Bone turnover mediates preferential localization of prostate cancer in the skeleton. Endocrinology 2005; 146:1727–36.
[47]. Taoka T MN, Lee HJ, Yuh WT, Simonson TM, Rezai K, Berbaum KS Factors influencing visualisation of vertebral metastases on MR imaging versus bone scintigraphy. Am J Roentgenol. 2001; 176:1525– 30.
[48]. Saeed Solooki ARV, Vahid Masoomi. Epidemiology of musculoskeletal tumors in Shiraz, south of Iran. 2011; 32(4):187-91.
[49]. SV R. Regulatory mechanisms operative in osteoclasts. Crit Rev Eukaryot Gene Expr 2004; 14:255 –70.
[50]. Vaananen HK ZH, Mulari M, Halleen JM The cell biology of osteoclast function. J Cell Sci. 2000; 113:377 –81.
[51]. Zhang Jea. Osteoprotegerin inhibits prostate cancer induced osteoclastogenesis and prevents prostate tumor growth in the bone. J Clin Invest 2001; 107:1235–44.
[52]. Yoshida Kea. Serum concentration of type I collagen metabolites as a quantitative marker of bone metastases in patients with prostate carcinoma. Cancer.1998; 80:1760–7
[53]. Pittenger MF MA, Beck SC, Jaiswal RK, Douglas R, Mosca JD, Moorman MA, Simonetti DW, Craig S, Marshak DR: Multilineage potential of adult human mesenchymal stem cells. Science.1990; 284:143 –7.
[54]. Percival RCea. Biochemical and histological evidence that carcinoma of the prostate is associated with increased bone resorption. Eur J Surg Oncol. 1987; 13:41–9.
[55]. Logan CY NR. The Wnt signaling pathway in development and disease. Annu Rev Cell Dev Biol 2004; 20:781-810.
[56]. Martin TJ SN. Osteoclast-derived activity in the coupling of bone formation to resorption. Trends Mol Med 2005; 11:76-81.
[57]. Miki T, Yano, S., Hanibuchi, M. & Sone, S. Bone metastasis model with multiorgan dissemination of human small-cell lung cancer (SBC-5) cells in natural killer cell-depleted SCID mice. Oncol Res. 2001; 12:209-17.
[58]. Southby Jea. Immunohistochemical localization of parathyroid hormone-related protein in breast and prostatre cancer. Cancer Res. 1990; 50:7710–6.
[59]. Pelger RC, Hamdy, N. A., Zwinderman, A. H., Lycklama a Nijeholt, A. A. & Papapoulos, S. E. . Effects of the bisphosphonate olpadronate in patients with carcinoma of the prostate metastatic to the skeleton. Bone. 1998; 22:403–8.
[61]. Koizumi Mea. Dissociation of bone formation markers in bone metastasis of prostate cancer. Br J Cancer 1997; 75:1601–4.
[62]. LF B. Establishment and characterization of an osteocyte-like cell line, MLO-Y4. J Bone Miner Metab 1999; 17:61 –5.
[63]. Kobayashi S TH, Ito A, Saito N, Nawata M, Horiuchi H, Ohta H, Ito A, Iorio R, Yamamoto N, Takaoka K Trabecular minimodeling in human iliac bone. Bone 2003; 32:163 –9.
[64]. Jrr CM. The new bone biology: Pathologic, molecular, clinical correlates. Am J Med Genet A 2006; 140:2646 –706.
[65]. H S. Prostate carcinoma: defining therapeutic objectives and improving overall outcomes. Cancer Suppl 2003; 97:758–71.
[66]. Hauge EM QD, Eriksen EF, Mosekilde L, Melsen F. Cancellous bone remodeling occurs in specialized compartments lined by cells expressing osteoblastic markers. J Bone Miner Res 2001; 16:1575 –82.
[67]. Eisenhauer EA TP, Bogaerts J, Schwartz LH, Sargent D, Ford R, Dancey J, Arbuck S, Gwyther S, Mooney M, Rubinstein L, Shankar L, Dodd L, Kaplan R, Lacombe D, Verweij J Eu J New response evaluation criteria in solid tumours: revised RECIST guideline. Cancer.2009; 45(2):228–47.
[68]. Garnero Pea. Markers of bone turnover for the management of patients with bone metastases from prostate cancer. Br J Cancer; 82:858–64.
[69]. Al. YBe. PDGF in breast and prostate cancer promotes osteosclerotic bone metastases. J Bone Min Res. 2000; 20:15.
[70]. Bubendorf L SA, Wagner U, Sauter G, Moch H, Wili N, Gasser TC, Mihatsch MJ. Metastatic patterns of prostate cancer: an autopsy study of 1589 patients 2000; 31: 578–83.
[71]. Carlin BI AG. The natural history, skeletal complications and management of bone metastases in patients with prostate carcinoma. Cancer 2000; 88:2989–94.
[72]. Charhon SAea. Histomorphometric analysis of sclerotic bone metastases from prostatic carcinoma special reference to osteomalacia. Cancer 1983; 51: 918–24.
[73]. Cheville JC TD, Boelter C, Jenkins R, Lohse CM, Pankratz VS, Sebo TJ, Davis B, Blute ML Metastatic prostate carcinoma to bone. Cancer 2002; 95:1028–36.
[74]. De Larco JEeaA. A potential role for IL-8 in the metastatic phenotype of prostate carcinoma cells. J Pathol.2003; 158:639–46.
[75]. Fair et. al.Clinical significance of repeat sextant biopsies in prostate cancer patients. Oncology 1997; 49(3):113-8.
[76]. Lieu et al. Clinical application of a 3D ultrasound-guided prostate biopsy system. jurolonc 1997; 29(3):334-42.
[77]. Cooper RC CC, Gendernalik JD, Lee HL, Bhatia J, Taichmen RS, McCauley LK, Keller ET, Pienta KJ Stromal factors involved in prostate carcinoma metastasis to bone. Cancer 2003; 97(2): 739–47.
[78]. Coombes RC DP, Parsons C, McCready VR, Ford HT, Gazet JC, Powles TJ Assessment of response of bone metastases to systemic treatment in patients with cancer. Cancer 1983; 52:610–4.
[79]. Levenson RM SB, Bates HR, Newman RD, Eddy JL, Ihde DC Comparative value of bone scintigraphy and radiography in monitoring tumour response in systemically treated prostatic carcinoma. Radiology 1983; 146: 513–8.
[80]. Lindsay R CF, Zhou H, Bostrom M, Shen V, Cruz J, Nieves JW, Dempster DW. A novel tetracycline labeling schedule for longitudinal evaluation of the short-term effects of anabolic therapy with a single iliac crest biopsy: Early actions of teriparatide. J Bone Miner Res.2006; 21:366 –73.
[81]. Jorgensen NR TS, Henriksen Z, Civitelli R, Sorensen OH, Steinberg TH. Activation of L-type calcium channels is required for gap junction-mediated intercellular calcium signaling in osteoblastic cells. J Biol Chem 2003; 278:4082 –6.
[82]. Imbriaco M, Larson SM, Yeung HW, Mawlawi OR, Erdi Y, Venkatraman ES, Scher HI. A new parameter for measuring metastatic bone involvement by prostate cancer: the bone scan index. Clin Cancer Res 1998; 4:1765–1772.
[83]. Schneider A, Kalikin LM, Mattos AC, Keller ET, Allen MJ, Pienta KJ, McCauley LK. Bone turnover mediates preferential localization of prostate cancer in the skeleton. Endocrinology 2005; 146: 1727–1736.
[84]. Cheville JC, Tindall D, Boelter C, Jenkins R, Lohse CM, Pankratz VS, Sebo TJ, Davis B, Blute ML. Metastatic prostate carcinoma to bone. Cancer 2002; 95: 1028–1036
[85]. Cooper RC, Chay CH, Gendernalik JD, Lee HL, Bhatia J, Taichmen RS, McCauley LK, Keller ET, Pienta KJ. Stromal factors involved in prostate carcinoma metastasis to bone. Cancer 2003; 97(3): 739–747.
[86]. Clamp A, Danson S, Nguyen H, Cole D, Clemons M. Assessment of therapeutic response in patients with metastatic bone disease. Lancet Oncol 2004; 5: 607–616.
[87]. Bubendorf L, Schopfer A, Wagner U, Sauter G, Moch H, Wili N, Gasser TC, Mihatsch MJ. Metastatic patterns of prostate cancer: an autopsy study of 1589 patients. Hum Path 2000; 31: 578–583.
[88]. Scher H. Prostate carcinoma: defining therapeutic objectives and improving overall outcomes. Cancer Suppl 2003; 97: 758–771.
[89]. Clamp A, Danson S, Nguyen H, Cole D, Clemons M. Assessment of therapeutic response in patients with metastatic bone disease. Lancet Oncol 2004; 5: 607–616.
[90]. Eisenhauer EA, Therasses P, Bogaerts J, Schwartz LH, Sargent D, Ford R, Dancey J, Arbuck S, Gwyther S, Mooney M, Rubinstein L, Shankar L, Dodd L, Kaplan R, Lacombe D, Verweij J. New response evaluation criteria in solid tumours: revised RECIST guideline. Eu J Cancer 2009; 45(2): 228–247.
[91]. Ulmert D KR, Fox JJ, et al. A novel automated platform for quantifying the extent of skeletal tumor involvement in prostate cancer patients using the Bone Scan Index. Eur Urol 2012; 33:78-84.
[92]. Zhang QX, Borg, A., Wolf, D. M., Oesterreich, S. & Fuqua, S. A. An estrogen receptor mutant with strong hormone independent activity from a metastatic cancer. Cancer Res 1997; 57:1244–9.
[93]. Sijens PE VdBM, Oudkerk M Phosphorus-31 chemical shift imaging of metastatic tumours located in the spine region. Invest Rad 1997; 32: 344–50.
[94]. Pelger RC, Hamdy, N. A., Zwinderman, A. H., Lycklama a Nijeholt, A. A. & Papapoulos, S. E. . Effects of the bisphosphonate olpadronate in patients with carcinoma of the prostate metastatic to the skeleton. Bone. 1998; 22:403–8.
[95]. Montemurro F RF, Martinicich L, Cirillo S, Gatti M, Aqlieta M, Regge D Dynamic contrast enhanced magnetic resonance imaging in monitoring bone metastases in cancer patients receiving bisphosphonates and endocrine therapy. Acta Rad 2004; 45:71–4.
[96]. Taira A HR, Gambhir SS Detection of bone metastases: assessment of integrated FDG PET/CT imaging. Quon A Radiology 2007; 243:204–11.
[97]. Koga Hea. Use of bone turnover marker, pyridinoline cross-linked carboxyterminal telopeptide of type I collagen (ICTP), in the assessment and monitoring of bone metastasis in prostate cancer. Prostate 1999; 39:1-7.
[98]. Hara T KN, Kishi H . PET imaging of prostate cancer using carbon-11-choline. J Nuc Med.1998; 39:990–5.
[100]. Charles-6.Edwards EM dN. Diffusion-weighted magnetic resonance imaging and its application to cancer. Cancer Imaging 2006; 16:135–43.
[101]. Beheshti M VR, Waldenberger P, Fitz F, Nader M, Loidl W, Broinger G, Stoiber F, Foglman I, Langsteger W Detection of bone metastases in patients with prostate cancer by 18F fluorocholine and 18 F fluoride PET-CT: a comparative study. Eur J Nucl Med Mol Imaging. 2008; 35:1766–74.
[102]. Even-Sapir E MU, Mishani E, Mishani E, Lievshitz G, Lerman H, Leibovitch I .The detection of bone metastases in patients with high risk prostate cancer: 99mTc-MDP planar bone scintigraphy, single and multi field of view SPECT, 18F-fluoride PET and 18F-fluoride PET/ CT. J Nuc Med. 2006; 47:287 –97.
[103]. Lecouvet FE GD, Stainier A, Jamar J, d’Othee BJ, Therasses P, Vande Berg B, Tombal B . Magnetic resonance imaging of the axial skeleton for detecting bone metastases in patients with high-risk prostate cancer: diagnostic and cost-effectiveness and comparison with current detection strategies. J Clin Onc. 2007; 25:3281–7.
[104]. Kotzerke J PJ, Neumaier B, Volkmer B, Guhlmann A, Kleinschmidt K, Hautmann R, Reske SN Experience with carbon-11 choline positron emission tomography in prostate carcinoma. Eur J Nuc Med 2000; 27(2): 1415–9.
[105]. Hock JM CM, Canalis E Insulin-like growth factor I (IGF-I) has independent effects on bone matrix formation and cell replication. Endocrinology 2004; 122:254 –60.
[106]. Henderson Mea. Parathyroid hormone-related protein production by cancers, improved survival, and reduced bone metastases. J Natl Cancer Inst. 2001; 93:234–7.
[107]. M. Andersson1 LJ, D. Minarik1,S. Mattsson1, S. Leide-Svegborn. International Commission on Radiation Protection: report of the task group on reference man. Press NYP, editor1992; 23:20-22
[108]. Luboldt W KR, Blumstein N, Toussaint TL, Kluge A, Seemann MD, Luboldt HJ Prostate carcinoma: diffusion weighted imaging as potential alternative to conventional MR and 11C-choline PET/CT for detection of bone metastases. Radiology 2008; 249:1017– 25.
[109]. Morris MJ AT, Larson S, Ditullio M, Chu E, Siedlecki K, Verbel D, Heller G, Kelly K, Slovin S, Schwartz L, Scher HI. . Fluorodeoxyglucose positron emission tomography as an outcome measure for castrate metastatic prostate cancer treated with antimicrotubule chemotherapy. Clin Cancer Res 2005; 11(9):3210–6.
[110]. Erdi YE HJ, Imbriaco M, Yeung H, Larson SM. Quantitative bone metastases analysis based on image segmentation. J Nucl Med 1997; 38(9):1401-6.
[111]. Downey Sea. Expression of the receptor for parathyroid hormone-related protein in normal and malignant tissue. J Pathol. 1997; 183:212–7.
[112]. Ciray I AG, Andreasson I, Edekling T, Hansen J, Bergh J, Ahlstrom H. . Evaluation of new sclerotic bone metastases in breast cancer patients during treatment. Acta Rad. 2000; 41(2):178–82.
[113]. Clamp A DS, Nguyen H, Cole D, Clemons M Lancet Assessment of therapeutic response in patients with metastatic bone disease. Oncol 2004; 5: 607–16.
[114]. Fogelman I CG, Israel O, Van der Wall H . . Positron emission tomography and bone metastases. Semin Nucl Med 2005; 35:135–42.
[115]. Taoka T MN, Lee HJ, Yuh WT, Simonson TM, Rezai K, Berbaum KS Factors influencing visualisation of vertebral metastases on MR imaging versus bone scintigraphy. Am J Roentgenol.2001; 176:25– 30.
[116]. Ciray I, Astrom G, Andreasson I, Edekling T, Hansen J, Bergh J, Ahlstrom H. Evaluation of new sclerotic bone metastases in breast cancer patients during treatment. Acta Rad 2000; 41(2): 180–182.
[117]. Langsteger W HM, Fogelman I The role of fluorodeoxyglucose, 18F dihyroxyphenylalanine, 18F-choline and 18F-fluoride in bone imaging with emphasis on prostate. Sem Nuc Med 2006; 36:73-92.
[118]. Even-Sapir E, Metser U, Mishani E, Mishani E, Lievshitz G, Lerman H, Leibovitch I. The detection of bone metastases in patients with high risk prostate cancer: 99mTc-MDP planar bone scintigraphy, single and multi field of view SPECT, 18F-fluoride PET and 18F-fluoride PET/CT. J Nuc Med 2006; 47: 287–297.
[119]. Oyama N AH, Kanamuru H, Saikawa S, Moriyama N, Oyama N, Akino H, Okada K, Yokoyama O 11C acetate PET imaging of prostate cancer. J Nucl Med 2002; 43:181–6.
[120]. Ulmert D, Kaboteh R, Fox JJ, et al. A novel automated platform for quantifying the extent of skeletal tumor involvement in prostate cancer patients using the Bone Scan Index. Eur Urol 2012 Jan; 12:78-84.
[121]. Dennis ER, Jia X, Mezheritskiy IS, et al. Bone Scan Index: A quantitative treatment response biomarker for castration-resistant metastatic prostate cancer. J Clin Oncol 2012; 30(5): 519-524.
[122]. Erdi YE, Humm JL, Imbriaco M, Yeung H, Larson SM. Quantitative bone metastases analysis based on image segmentation. J Nucl Med 1997; 38(9): 1401-1406
[123]. Sabbatini P, Larson SM, Kremer A, et al. Prognostic significance of extent of disease in bone in patients with androgen-independent prostate cancer. J Clin Oncol 1999; 17: 948-957
[124]. Poulsen M, Rasmussen J, Johansen A, Lund L, Høilund-Carlsen P, Gerke O, Edenbrandt L. Bone Scan Index: A strong predictor of outcome in metastatic, hormone native prostate cancer patients. Urology 2013; 82: 1315-1445.
[125]. Armstrong AJ, Kaboteh R, Carducci MA, et al. Tasquinimod and effects on bone scan index in men with metastatic castration-resistant prostate cancer: results of retrospective follow up of a randomized phase 2 placebo-controlled trial. J Clin Oncol 2013; 31:453-455.
[126]. Kaboteh R, Damber JE, Gjertsson P, Höglund P, Lomsky M, Ohlsson M, Edenbrandt L. Bone Scan Index: A prognostic imaging biomarker for high risk prostate cancer patients receiving primary hormonal therapy. EJNMMI Research 2013; 3:9.
[127]. Soloway MS, Hardeman SW, Hickey D, et al. Stratification of patients with metastatic prostate cancer based on extent of disease on initial bone scan. Cancer 1988; 61:195-202.
[128]. Shreve PD GH, Gross MD, Wahl RL. Metastatic prostate cancer: initial findings of PET with 2-deoxy-2-[F-18] fluoro-D-glucose. Radiology 1996; 199:751–6.
[129]. Noguchi M KH, Ishibashi M, Noda S Percentage of the positive area of bone metastasis is an independent predictor of disease death in advanced prostate cancer. Br J Cancer 2003; 88:195–201.
[130]. Kevin J. Donohoe MLB, B. David Collier, Robert F. Carretta, Robert E. Henkin, Robert E., O’Mara HDR. Society of Nuclear Medicine Procedure Guidelines for bone scintigraphy,June 2003; 3:1-5.
[131]. Dobnig H TR. Evidence that intermittent treatment with parathyroid hormone increases bone formation in adult rats by activation of bone lining cells. Endocrinology 1995; 136:3632 –8.
[132]. Kaddoura S, Heart failure, myocardium and pericardium. Sam Kaddoura, Echo Made Easy, London. Churchill Livingstone 2002; 2: 71-75.
[133]. Morris MJ AT, Larson S, Ditullio M, Chu E, Siedlecki K, Verbel D, Heller G, Kelly K, Slovin S, Schwartz L, Scher HI. Fluorodeoxyglucose positron emission tomography as an outcome measure for castrate metastatic prostate cancer treated with antimicrotubule chemotherapy. Clin Cancer Res 2005; 11(9):3210–6.
[135]. American Cancer Society. Cancer facts and figures 2007. URL: http://www.cancer.org/downloads/STT/CAFF2007PWSecured.pdf.
[136]. Sodeman TM. Batsakis JG. Acid phosphatase. In: Tannenbaum M, ed. UrologicPathology: The Prostate. Philadelphia: Lea and Feibiger 1977; 2:179-139.
[137]. Citrin DL, Cohen AI, Harberg J, Schlise S, Hougen C, Benson R.Systemic treatment of advanced prostatic cancer: development of a new system for defining response. J Urol 1981; 125: 224–227.
[138]. Kaboteh R, Gjertsson P, Leek H, Lomsky M, Ohlsson M et. al. Progression of bone metastasis in prostate cancer patients- automated detection of new lesions and calculation of bone scan index EJNMI research 2013; 3(1): 1-6.
[139]. Yagoda A, Watson RC, Natale RRD el a/. A critical analysis of response criteria in patients with prostatic cancer treated with cisdiamine dichloride platinum 11. Cancer 1979; 44:1553-1 560.
[140]. Dennis et al. Bone scan index: A quantitative a treatment response biomarker for castration resistant prostate cancer patients. J Clin Oncol 2012; 30:519-523.
[141]. Noguchi M KH, Ishibashi M, Noda S. Percentage of the positive area of bone metastasis is an independent predictor of disease death in advanced prostate cancer. Br J Cancer 2003; 88:195–201.
[142]. Soloway MS, Hardeman SW, Hickey D, et al. Stratification of patients with metastatic prostate cancer based on extent of disease on initial bone scan. Cancer 1988; 61:195-202.
[143]. Mariana Raza, Anders Bjartell, et al. Increase in bone scan index during abiraterone treatment in relation to reduced survival in mCRPC patients . J Clin Oncol 2014; 4:32.
[144]. Nakajima K, Nakajima Y, Horikoshi H, et al.Enhanced diagnostic accuracy for quantitative bone scan using an artificial neural network system: a Japanese multi-center database project. EJNMMI Res. 2013; 3(1):83.
[145]. Osamu Tokuda, Yuko Harada, Yona Ohishi, Naofumi Matsunaga, Lars Edenbrandt. Investigation of computer-aided diagnosis system for bone scans: a retrospective analysis in 406 patients. Annals of Nuclear Medicine 2014; 28:329-339.
[146]. Charles R Pound, Michael K Brawer, Alan W Partin. Evaluation and Treatment of Men with Biochemical Prostate-Specific Antigen Recurrence Following Definitive Therapy for Clinically Localized Prostate Cancer. Rev Urol. 2001 spring; 3(2): 72–84.
[147]. Yuh-Shyan Tsai, Tzong-Shin Tzai,, Johnny SN Lin Yat-Ching Tong , Wen-Horng Yang, Chien-Chen Chang, Hong-Lin Cheng, Yung-Ming Lin. Prognostic Value of Serial Serum Prostate-Specific Antigen Measurements in Metastatic Prostate Cancer Patients Treated with Androgen Ablation . JTUA, June 2005; 16:65-72.
[148]. Noguchi M KH, Ishibashi M, Noda S Percentage of the positive area of bone metastasis is an independent predictor of disease death in advanced prostate cancer. Br J Cancer 2003; 88:195–201.
[149]. Mariana Raza, Anders Bjartell, et al. Increase in bone scan index during abiraterone treatment in relation to reduced survival in mCRPC patients .J Clin Oncol 2014; 4:32.
[150]. Atsushi Mizokami, Kouji Izumi, Satoru Ueno, Yoshifumi Kadono, Hiroshi Wakabayashi, Kenichi Nakajima, Mikio Namiki; Relationship of bone scan index and progression-free survival after docetaxel treatment for CRPC patients with bone metastases. J Clin Oncol 2014; 4:32.
[151]. Mitsui Y, Shiina H, Yamamoto Y, Haramoto M, Arichi N, Yasumoto H, Kitagaki H, Igawa M Prediction of survival benefit using an automated bone scan index in patients with castration-resistant prostate cancer. BJU Int. 2012; 110(11 Pt B):E628-34.
[152]. Imbriaco M, Larson SM, Yeung HW, et al: A new parameter for measuring metastatic bone involvement by prostate cancer: The Bone Scan Index. Clin Cancer Res 1998; 4:1765-1772.
[153]. Noguchi M KH, Ishibashi M, Noda S Percentage of the positive area of bone metastasis is an independent predictor of disease death in advanced prostate cancer. Br J Cancer 2003; 88:195–201.
[154]. Kaboteh R, Gjertsson P, Leek H, Lomsky M, Ohlsson M et. al. Progression of bone metastasis in prostate cancer patients- automated detection of new lesions and calculation of bone scan index. EJNMI research 2013; 3(1): 1-6.
[155]. Takahashi et al. Assessment of bone scans in advanced prostate carcinoma using fully automated and semi-automated bone scan index methods. Ann Nucl Med 2012; 26:586-593.
[156]. Reza et al. Prognostic value of Bone Scan Index for survival in patients with prostate cancer. EANM Annual Congress; 2012.
[157]. Højgaard et al. Prognostic value of metastasis pattern for morbidity in prostate cancer measured by quantitative bone scintigraphy. ASCO Annual Meeting; 2010.
[158]. Poulsen et al. Bone Scan Index: A strong predictor of outcome in metastatic, hormone native prostate cancer patients. SIU Congress; 2013.
[159]. Dennis et al. Bone scan index: A quantitative a treatment response biomarker for castration resistant prostate cancer patients. J Clin Oncol 2012; 30:519-523.
Appendix A Proforma
Study Case Number _______
Utility of bone scan quantitative parameters for the evaluation of carcinoma prostate
Proforma for data collection
Patients Demographic Detail Patient ID ________
Name _________________________________________
Age ___________________________________________
Gender M
Contact No ____________________________________
Brief clinical history
____________________________________________________________________________
____________________________________________________________________________
____________________________________________________________________________
____________________________________________________________________________
Disease
Cancer : Prostate Cancer
H/P Report _________________________________________________________
PSA Levels _________________________________________________________
Investigations Others (If any)
__________________________________________________________________________
__________________________________________________________________________
__________________________________________________________________________
Treatment Recent/Previous (If any)
__________________________________________________________________________
Quantitation Methods using bone scans
|
Prostate Cancer |
Bone Lesion Scoring (BLS) |
Extent of Disease by %PAB |
Grading of Metastasis by Numeric counting (EOD) |
% Bone Scan Index (%BSI) |
PSA Levles ng/dl |
|
Baseline Scan |
|
|
|
|
|
|
Follow up scan
|
|
|
|
|
|
Appendix B
% BSI Calculations
Formula Used:
![]()
= ABC (Grams)
![]()
Total Weight Male = 5500gms
Ø Bone Involvement = Total Weight in Grams x % involvement of bone
Total Percentage of Bone
=ABC (Grams)
Ø % BSI = ABC (Grams) x 100
Total Skeletal Weight in Grams
Total Weight Male = 5500gms
Appendix C
Extent of Disease (EOD) Grading
|
Grade |
Extent of Disease |
|
Grade -0 |
No Metastasis |
|
Grade- 1 |
< 6 Bone Mets, Vertebral Body = 2 |
|
Grade-2 |
6-20 Bone Mets |
|
Grade-3 |
> 20 Bone Mets but < Super Scan |
|
Grade-4 |
Super Scan |
Appendix D
%PAB (Positive area on bone scan)
![]()
Appendix E
Bone Lesion Scoring
|
Scoring |
Skull Metastasis |
Spine Metastasis |
Pelvis |
Thorax |
Extremities |
|
0 |
No Mets |
No Mets |
No Mets |
No Mets |
No Mets |
|
1 |
< or = 2 |
< or = 2 |
< or = 10% |
< or = 2 |
< or = 2 |
|
2 |
>2 |
3 to 5 |
10-25% |
3 to 5 |
3 to 5 |
|
3 |
- |
>5 |
>25% |
>5 |
>5 |
Download full article here
A Note on Membership in the BWW Society-Institute for Positive Global Solutions: Standard Membership requires an academic level of at least Associate Professor (or the equivalent in non-academic fields); Fellowship Status is reserved for Full Professors or equivalent.